🇳🇴 🇬🇧 🇩🇪 🇨🇿 🇫🇮

Meteor, poloha: Finnsnes 2023-02-02 21:12:20 UTC

Soubor KML  |  InteraktivnĂ­ mapa

Mapa zobrazuje dráhy meteoru. Světlejší čáry ukazují směry od pozorovacích stanic při objevení se meteoru a tmavší čáry, kde byl naposledy viděn. Modrá šipka značí viditelnou dráhu meteoru.

static map
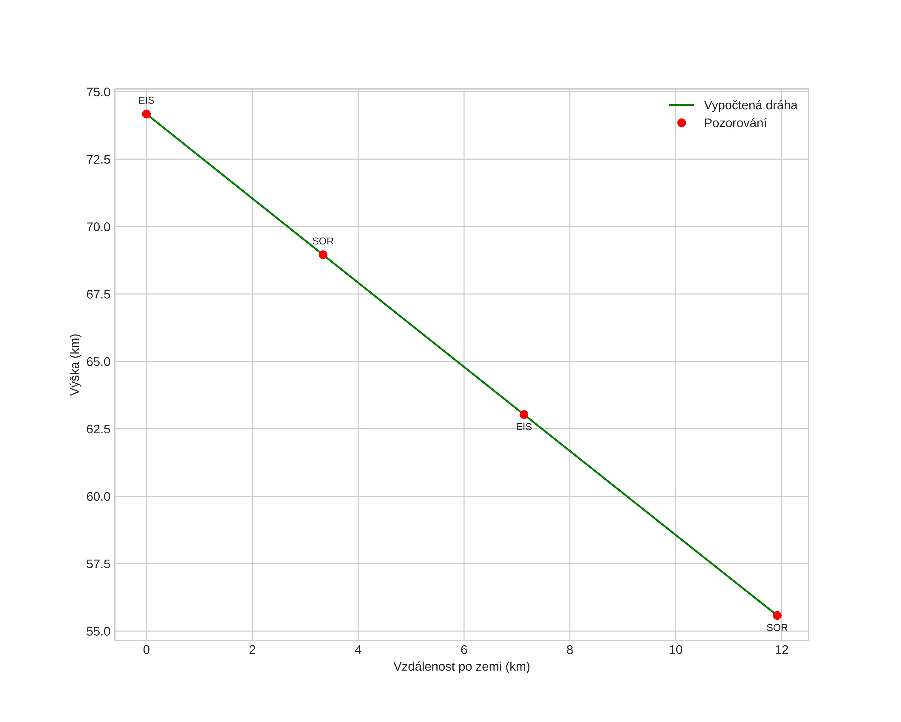
height profile
Atmosférická dráha meteoru:
Počáteční výška: 75,0 km
Konečná výška: 55,5 km
Počáteční poloha: 69,986N 17,652E
Konečná poloha: 70,023N 17,971E
Směr: 70,8°
Sklon: 56,7°
VstupnĂ­ rychlost: 14,3 km/s
Rektascenze radiantu: 03:36 (54,2°)
Deklinace radiantu: 38,9°
MeteorickĂ˝ roj: sporadickĂ˝
Elementy dráhy meteoroidu:
Vzdálenost v periheliu: 0,981 AU
Excentricita: 0,661
Sklon dráhy: 4,4°
Délka vzestupného uzlu: 313,4°
Argument perihelia: 189,0°
Střední anomálie: 358,6°
Epocha: 2023 FEB 02 21:12:20
orbit plot

NeinteraktivnĂ­ graf | InteraktivnĂ­ graf

position vs time
speed and acceleration