🇳🇴 🇬🇧 🇩🇪 🇨🇿 🇫🇮

Meteor Finnsnesin yllä 2023-02-02 21:12:20 UTC

KML-tiedosto  |  Interaktiivinen kartta

Kartta näyttää meteorin suuntahavainnot. Vaaleammat viivat näyttävät suunnat havaintoasemilta meteorin ilmestyessä, ja tummemmat viivat näyttävät, missä se viimeksi nähtiin. Sininen nuoli näyttää meteorin näkyvän lennon.

static map
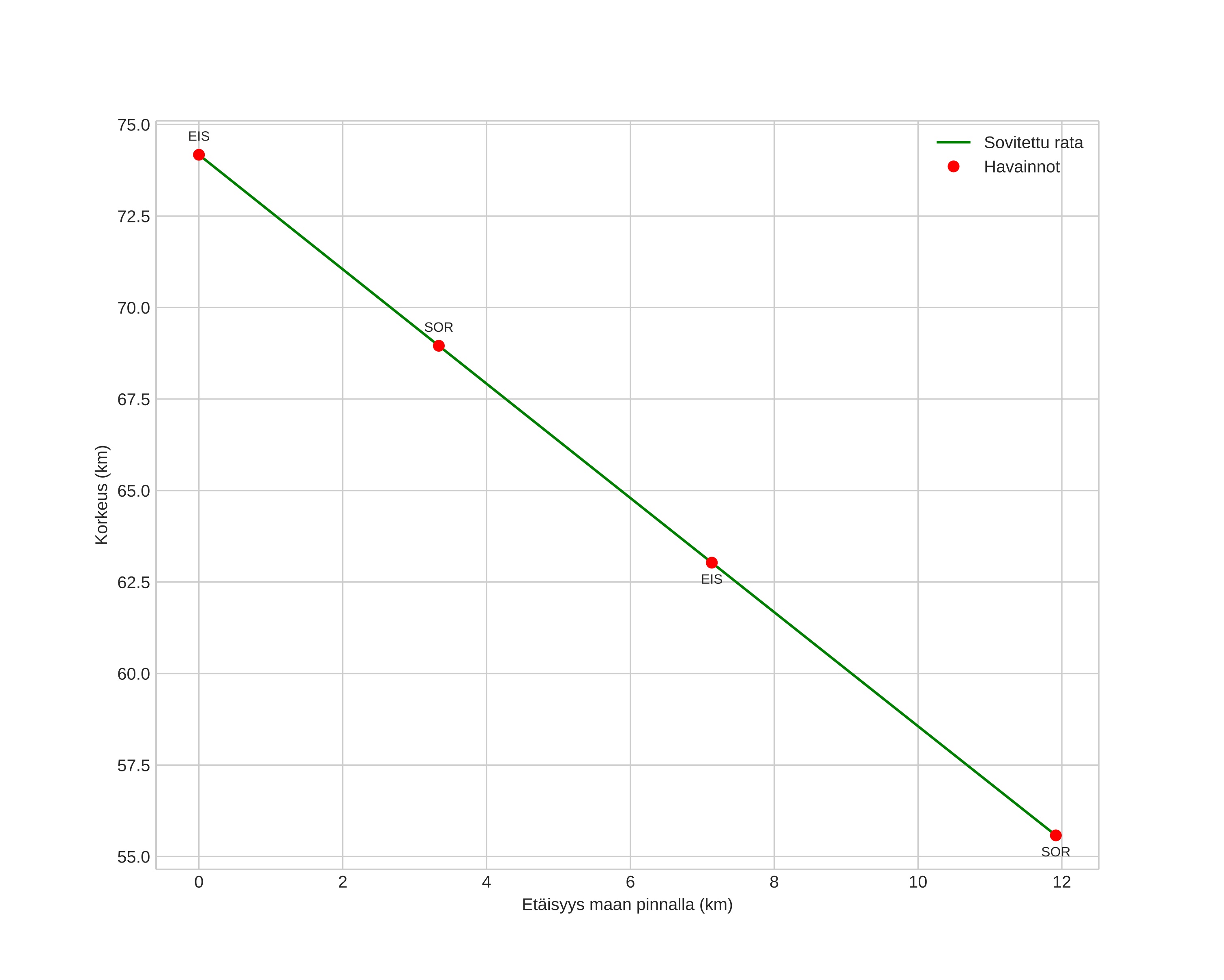
height profile
Meteorin ilmakehärata:
Alkukorkeus: 75,0 km
Loppukorkeus: 55,5 km
Alkupiste: 69,986N 17,652E
Loppupiste: 70,023N 17,971E
Suunta: 70,8°
Kallistuskulma: 56,7°
Tulonopeus: 14,3 km/s
Radiantin R,A,: 03:36 (54,2°)
Radiantin Dekl,: 38,9°
Meteoriparvi: Sporadinen
Meteoroidin rataelementit:
Perihelietäisyys: 0,981 AU
Eksentrisyys: 0,661
Inklinaatio: 4,4°
Nousevan solmun pituus: 313,4°
Perihelin argumentti: 189,0°
Keskianomalia: 358,6°
Epookki: 2023 FEB 02 21:12:20
orbit plot

Ei-interaktiivinen kuvaaja | Interaktiivinen kuvaaja

position vs time
speed and acceleration