🇳🇴 🇬🇧 🇩🇪 🇨🇿 🇫🇮

Meteor, poloha: Alta 2023-02-03 01:09:02 UTC

Soubor KML  |  InteraktivnĂ­ mapa

Mapa zobrazuje dráhy meteoru. Světlejší čáry ukazují směry od pozorovacích stanic při objevení se meteoru a tmavší čáry, kde byl naposledy viděn. Modrá šipka značí viditelnou dráhu meteoru.

static map
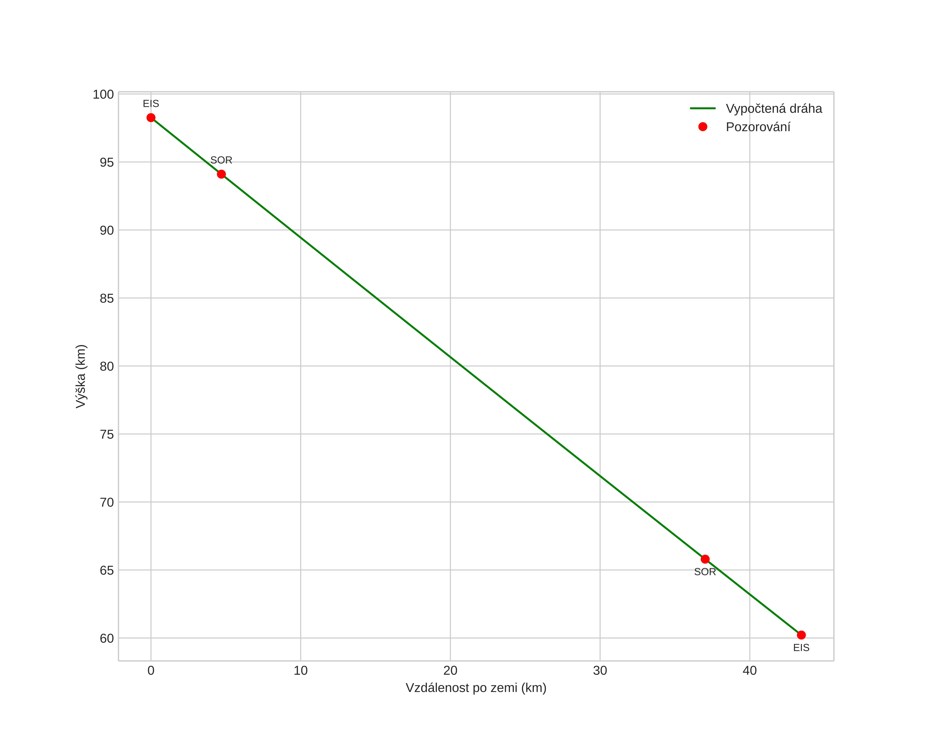
height profile
Atmosférická dráha meteoru:
Počáteční výška: 98,6 km
Konečná výška: 58,7 km
Počáteční poloha: 69,916N 23,935E
Konečná poloha: 69,827N 22,798E
Směr: 257,8°
Sklon: 41,8°
VstupnĂ­ rychlost: 46,3 km/s
Rektascenze radiantu: 17:11 (257,9°)
Deklinace radiantu: 42,3°
MeteorickĂ˝ roj: sporadickĂ˝
Elementy dráhy meteoroidu:
Vzdálenost v periheliu: 0,951 AU
Excentricita: 1,089
Sklon dráhy: 72,3°
Délka vzestupného uzlu: 313,6°
Argument perihelia: 158,8°
Střední anomálie: 0,4°
Epocha: 2023 FEB 03 01:09:02
orbit plot

NeinteraktivnĂ­ graf | InteraktivnĂ­ graf

position vs time
speed and acceleration