🇳🇴 🇬🇧 🇩🇪 🇨🇿 🇫🇮

Meteor Altan yllä 2023-02-03 01:09:02 UTC

KML-tiedosto  |  Interaktiivinen kartta

Kartta näyttää meteorin suuntahavainnot. Vaaleammat viivat näyttävät suunnat havaintoasemilta meteorin ilmestyessä, ja tummemmat viivat näyttävät, missä se viimeksi nähtiin. Sininen nuoli näyttää meteorin näkyvän lennon.

static map
height profile
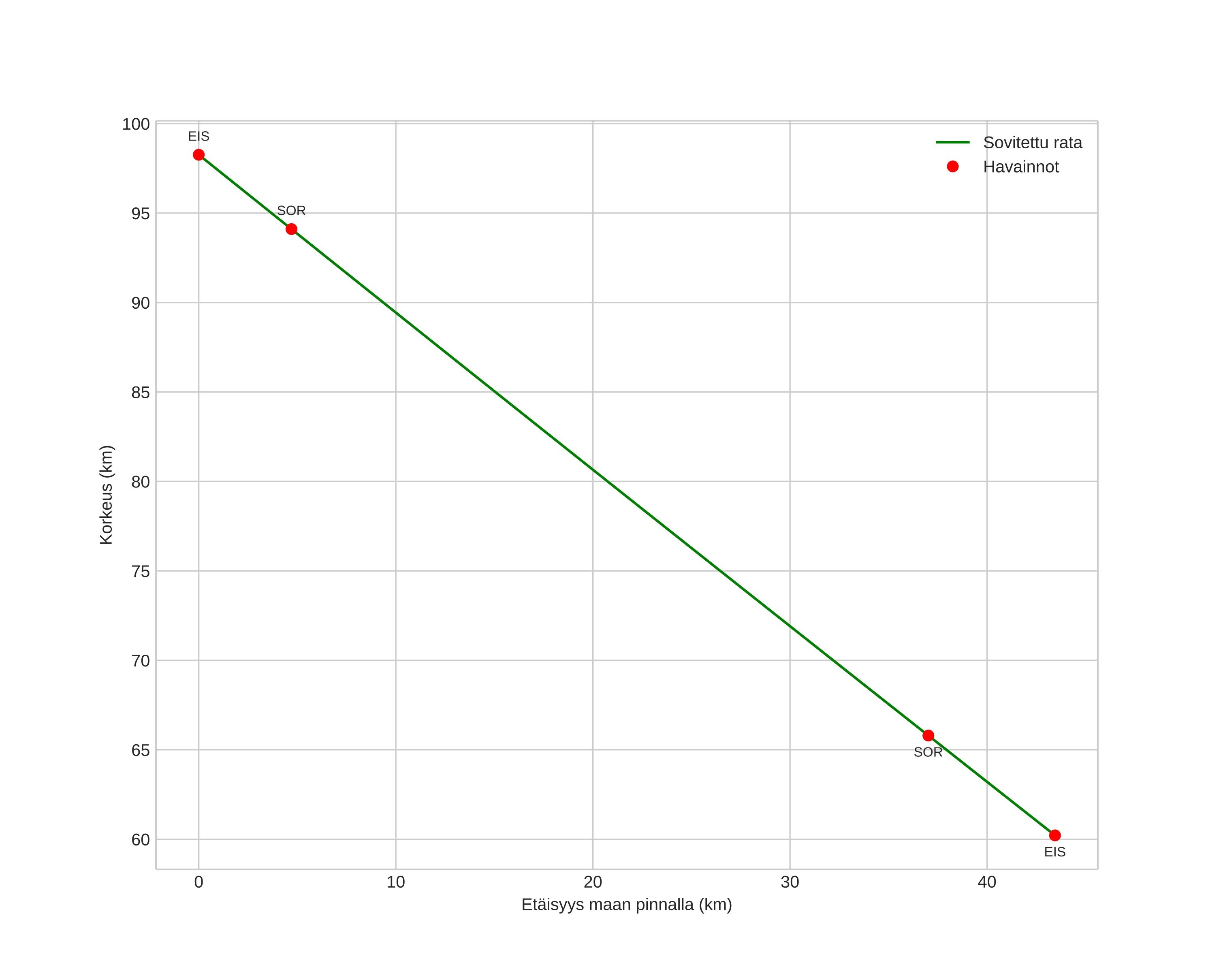
Meteorin ilmakehärata:
Alkukorkeus: 98,6 km
Loppukorkeus: 58,7 km
Alkupiste: 69,916N 23,935E
Loppupiste: 69,827N 22,798E
Suunta: 257,8°
Kallistuskulma: 41,8°
Tulonopeus: 46,3 km/s
Radiantin R,A,: 17:11 (257,9°)
Radiantin Dekl,: 42,3°
Meteoriparvi: Sporadinen
Meteoroidin rataelementit:
Perihelietäisyys: 0,951 AU
Eksentrisyys: 1,089
Inklinaatio: 72,3°
Nousevan solmun pituus: 313,6°
Perihelin argumentti: 158,8°
Keskianomalia: 0,4°
Epookki: 2023 FEB 03 01:09:02
orbit plot

Ei-interaktiivinen kuvaaja | Interaktiivinen kuvaaja

position vs time
speed and acceleration