🇳🇴 🇬🇧 🇩🇪 🇨🇿 🇫🇮

Meteor, poloha: Sandefjord 2023-02-08 01:21:23 UTC

Soubor KML  |  InteraktivnĂ­ mapa

Mapa zobrazuje dráhy meteoru. Světlejší čáry ukazují směry od pozorovacích stanic při objevení se meteoru a tmavší čáry, kde byl naposledy viděn. Modrá šipka značí viditelnou dráhu meteoru.

static map
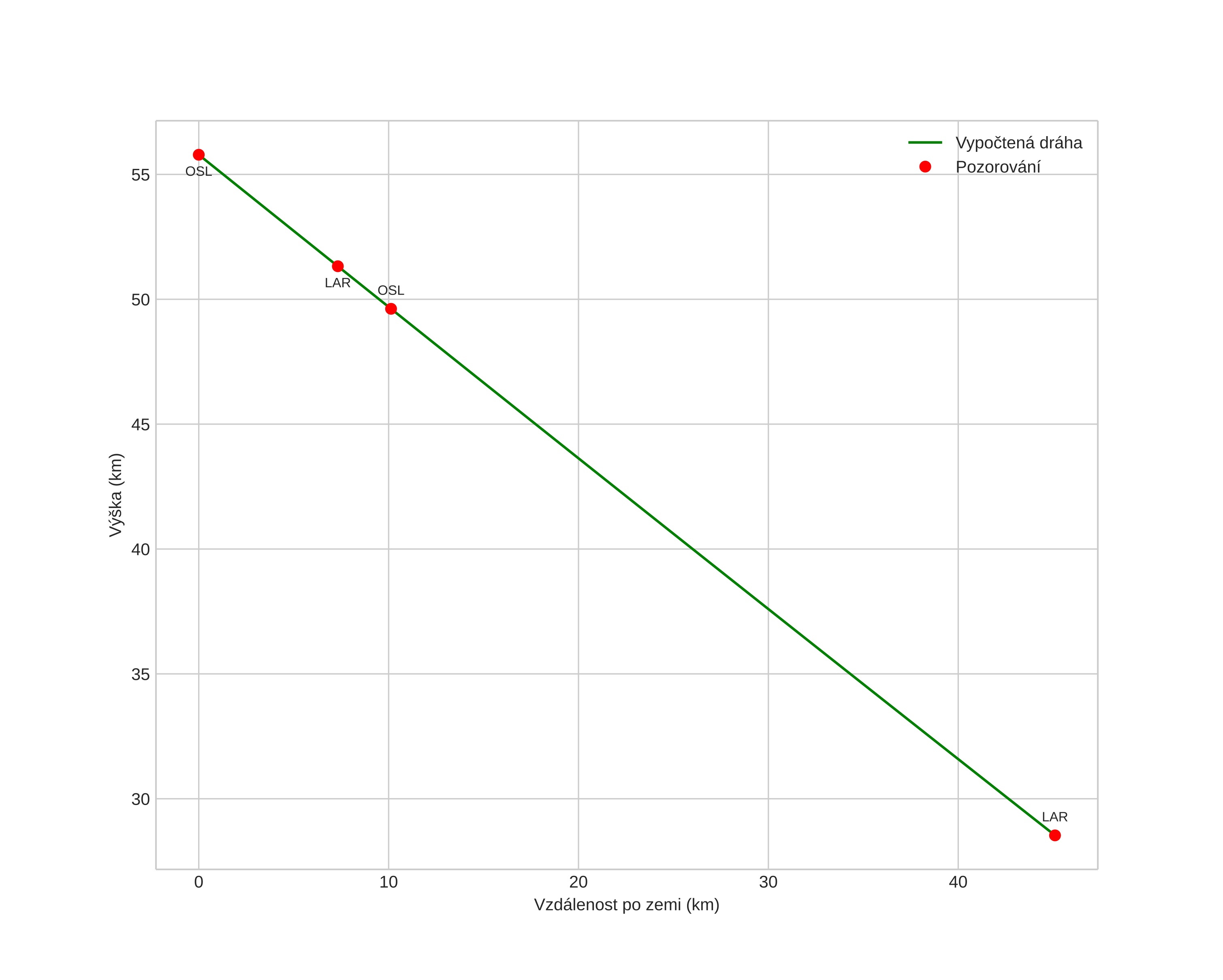
height profile
Atmosférická dráha meteoru:
Počáteční výška: 55,7 km
Konečná výška: 28,6 km
Počáteční poloha: 59,500N 10,767E
Konečná poloha: 59,260N 10,126E
Směr: 234,0°
Sklon: 31,0°
orbit plot
position vs time
speed and acceleration