🇳🇴 🇬🇧 🇩🇪 🇨🇿 🇫🇮

Meteor Sandefjordin yllä 2023-02-08 01:21:23 UTC

KML-tiedosto  |  Interaktiivinen kartta

Kartta näyttää meteorin suuntahavainnot. Vaaleammat viivat näyttävät suunnat havaintoasemilta meteorin ilmestyessä, ja tummemmat viivat näyttävät, missä se viimeksi nähtiin. Sininen nuoli näyttää meteorin näkyvän lennon.

static map
height profile
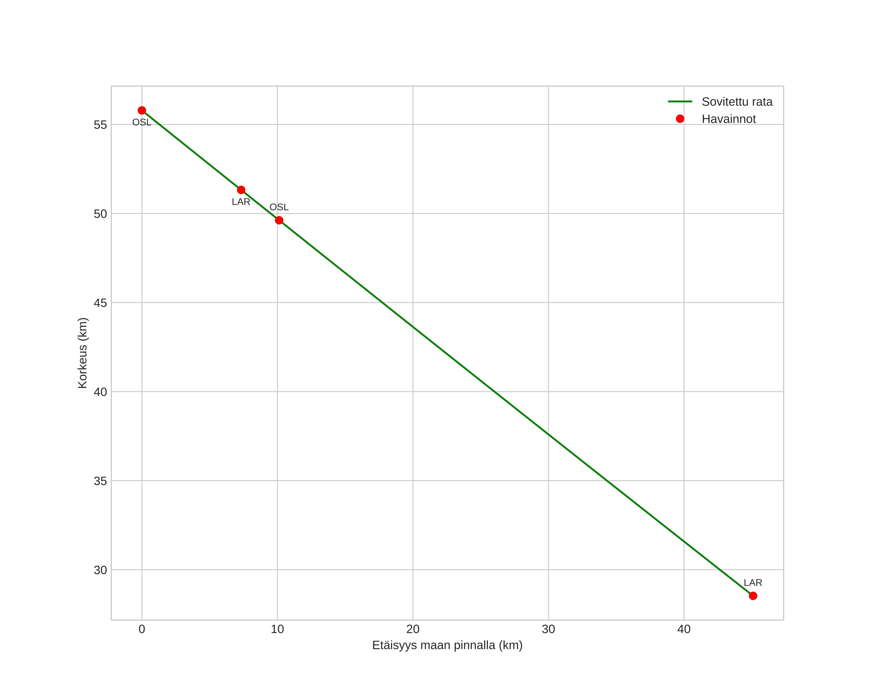
Meteorin ilmakehärata:
Alkukorkeus: 55,7 km
Loppukorkeus: 28,6 km
Alkupiste: 59,500N 10,767E
Loppupiste: 59,260N 10,126E
Suunta: 234,0°
Kallistuskulma: 31,0°
orbit plot
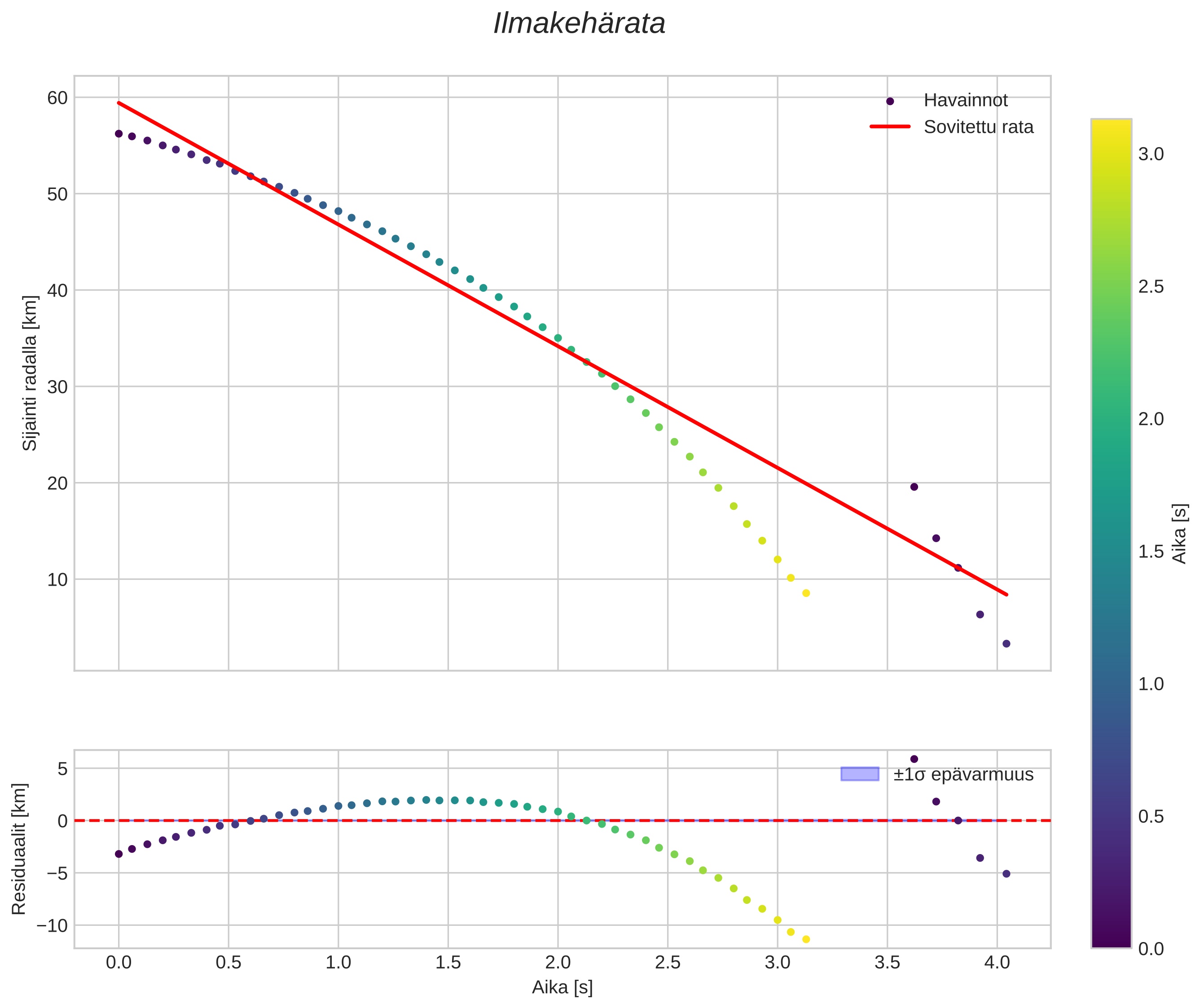
position vs time
speed and acceleration