🇳🇴 🇬🇧 🇩🇪 🇨🇿 🇫🇮

Meteor, poloha: Revetal 2023-02-14 21:07:28 UTC

Soubor KML  |  InteraktivnĂ­ mapa

Mapa zobrazuje dráhy meteoru. Světlejší čáry ukazují směry od pozorovacích stanic při objevení se meteoru a tmavší čáry, kde byl naposledy viděn. Modrá šipka značí viditelnou dráhu meteoru.

static map
height profile
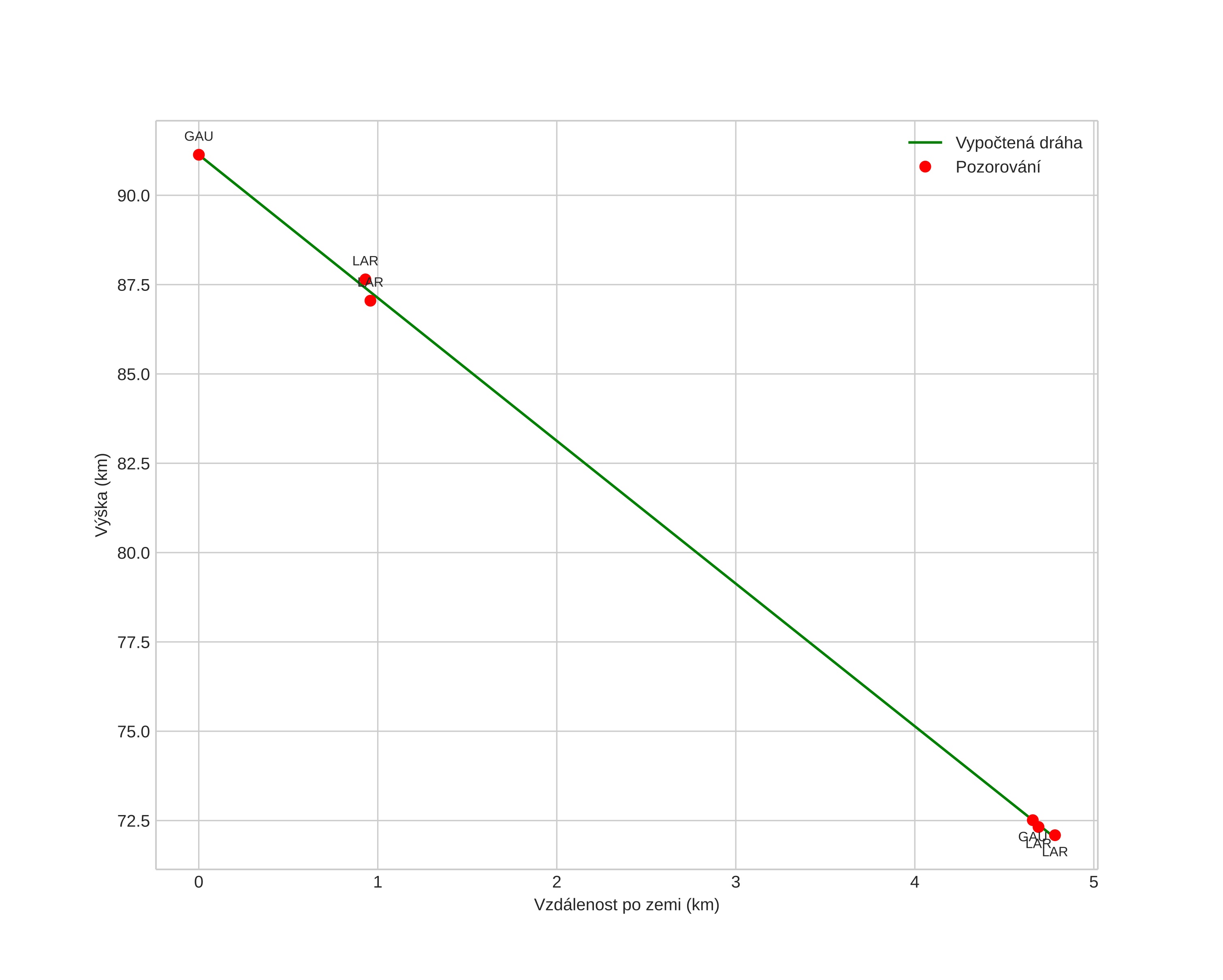
Atmosférická dráha meteoru:
Počáteční výška: 90,8 km
Konečná výška: 72,3 km
Počáteční poloha: 59,352N 10,233E
Konečná poloha: 59,356N 10,153E
Směr: 275,6°
Sklon: 76,3°
VstupnĂ­ rychlost: 27,0 km/s
Rektascenze radiantu: 09:03 (135,9°)
Deklinace radiantu: 55,3°
MeteorickĂ˝ roj: sporadickĂ˝
Elementy dráhy meteoroidu:
Vzdálenost v periheliu: 0,849 AU
Excentricita: 1,195
Sklon dráhy: 20,8°
Délka vzestupného uzlu: 325,6°
Argument perihelia: 222,1°
Střední anomálie: -2,7°
Epocha: 2023 FEB 14 21:07:28
orbit plot

NeinteraktivnĂ­ graf | InteraktivnĂ­ graf

position vs time
speed and acceleration