🇳🇴 🇬🇧 🇩🇪 🇨🇿 🇫🇮

Meteor Revetalin yllä 2023-02-14 21:07:28 UTC

KML-tiedosto  |  Interaktiivinen kartta

Kartta näyttää meteorin suuntahavainnot. Vaaleammat viivat näyttävät suunnat havaintoasemilta meteorin ilmestyessä, ja tummemmat viivat näyttävät, missä se viimeksi nähtiin. Sininen nuoli näyttää meteorin näkyvän lennon.

static map
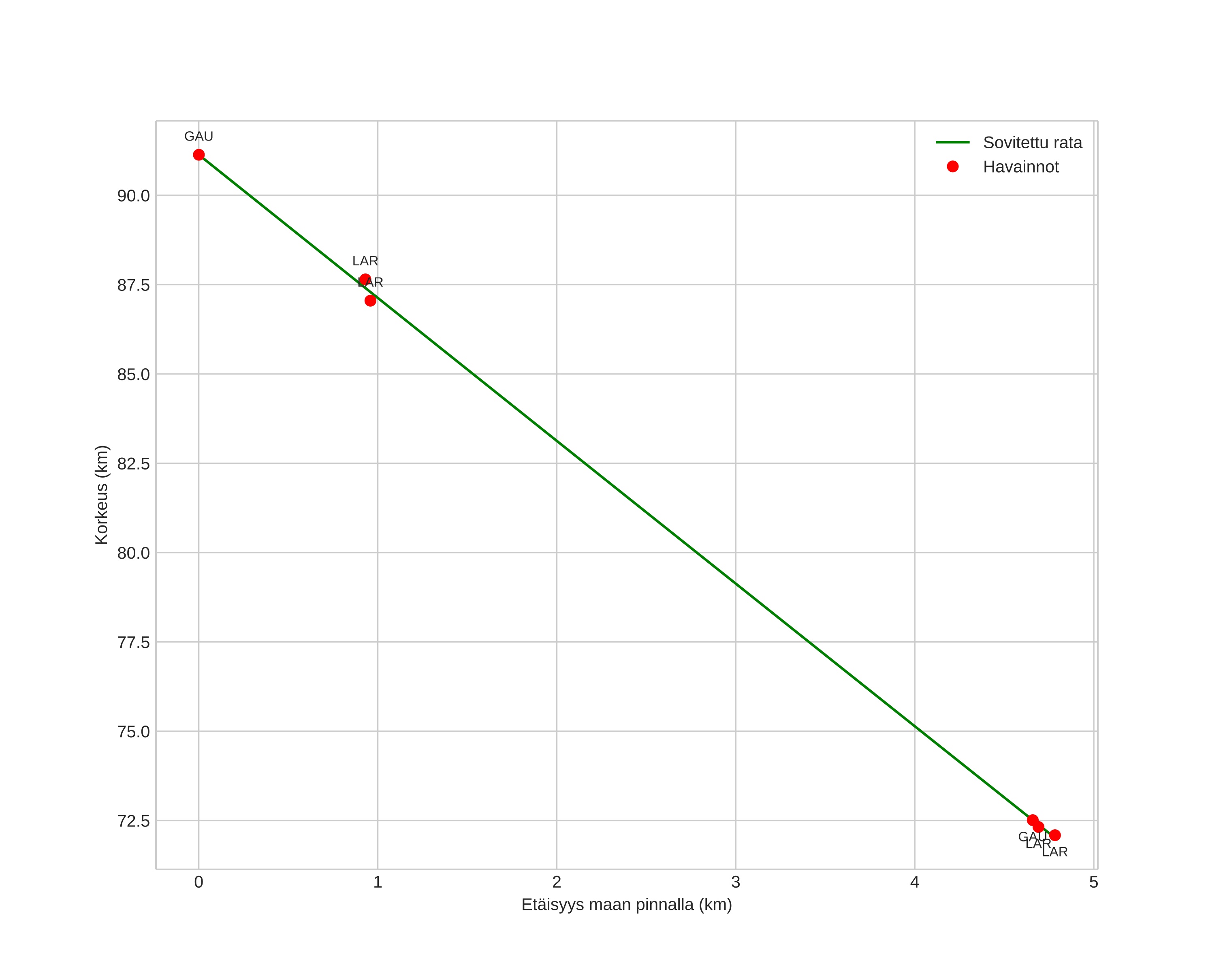
height profile
Meteorin ilmakehärata:
Alkukorkeus: 90,8 km
Loppukorkeus: 72,3 km
Alkupiste: 59,352N 10,233E
Loppupiste: 59,356N 10,153E
Suunta: 275,6°
Kallistuskulma: 76,3°
Tulonopeus: 27,0 km/s
Radiantin R,A,: 09:03 (135,9°)
Radiantin Dekl,: 55,3°
Meteoriparvi: Sporadinen
Meteoroidin rataelementit:
Perihelietäisyys: 0,849 AU
Eksentrisyys: 1,195
Inklinaatio: 20,8°
Nousevan solmun pituus: 325,6°
Perihelin argumentti: 222,1°
Keskianomalia: -2,7°
Epookki: 2023 FEB 14 21:07:28
orbit plot

Ei-interaktiivinen kuvaaja | Interaktiivinen kuvaaja

position vs time
speed and acceleration