🇳🇴 🇬🇧 🇩🇪 🇨🇿 🇫🇮

Meteor, poloha: Alta 2023-02-17 19:00:44 UTC

Soubor KML  |  InteraktivnĂ­ mapa

Mapa zobrazuje dráhy meteoru. Světlejší čáry ukazují směry od pozorovacích stanic při objevení se meteoru a tmavší čáry, kde byl naposledy viděn. Modrá šipka značí viditelnou dráhu meteoru.

static map
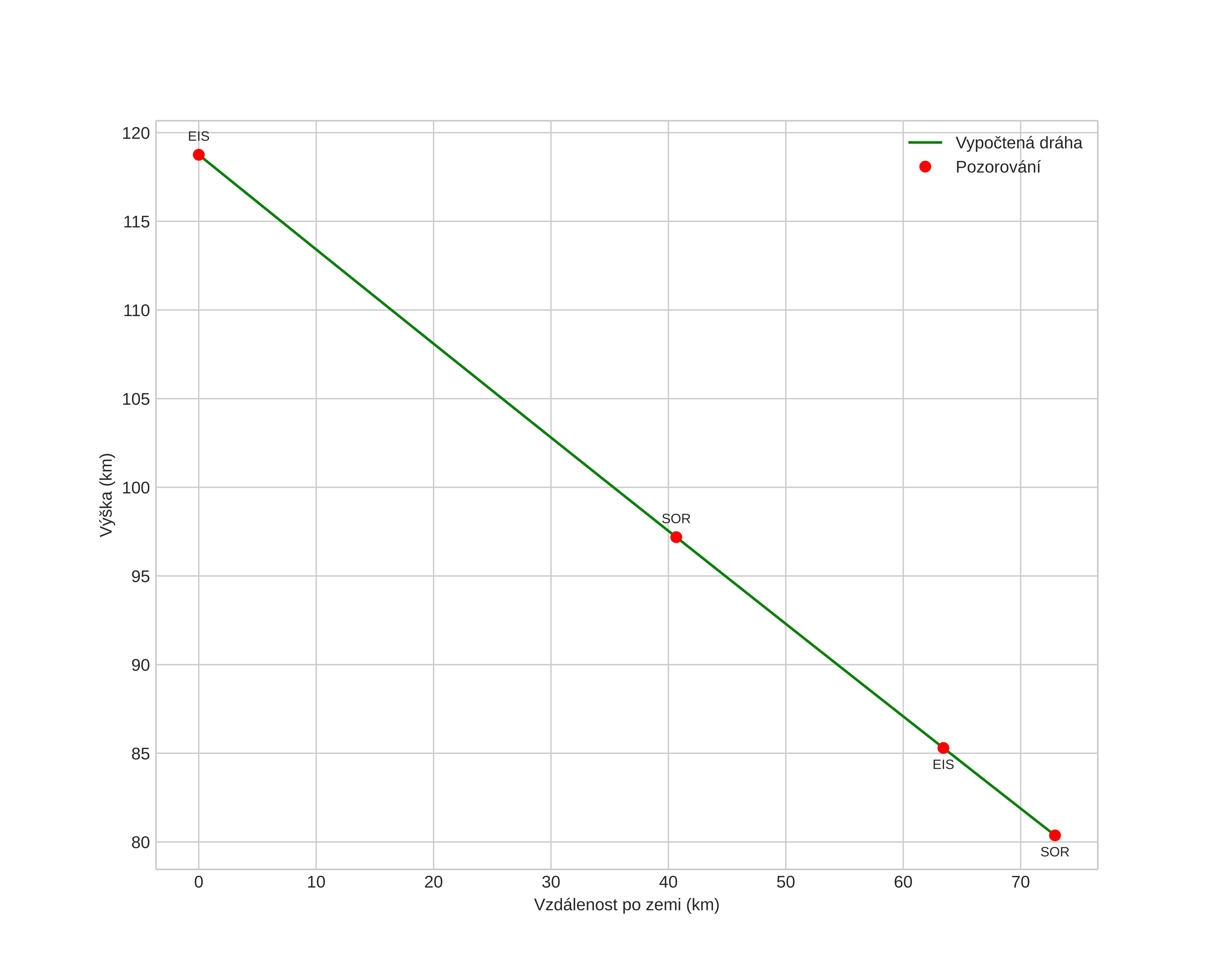
height profile
Atmosférická dráha meteoru:
Počáteční výška: 120,0 km
Konečná výška: 82,5 km
Počáteční poloha: 69,654N 25,642E
Konečná poloha: 69,818N 23,828E
Směr: 285,5°
Sklon: 27,4°
VstupnĂ­ rychlost: 62,4 km/s
Rektascenze radiantu: 10:55 (163,9°)
Deklinace radiantu: 20,1°
MeteorickĂ˝ roj: sporadickĂ˝
Elementy dráhy meteoroidu:
Vzdálenost v periheliu: 0,252 AU
Excentricita: 1,644
Sklon dráhy: 31,8°
Délka vzestupného uzlu: 328,5°
Argument perihelia: 281,4°
Střední anomálie: -98,6°
Epocha: 2023 FEB 17 19:00:44
orbit plot

NeinteraktivnĂ­ graf | InteraktivnĂ­ graf

position vs time
speed and acceleration