🇳🇴 🇬🇧 🇩🇪 🇨🇿 🇫🇮

Meteor Altan yllä 2023-02-17 19:00:44 UTC

KML-tiedosto  |  Interaktiivinen kartta

Kartta näyttää meteorin suuntahavainnot. Vaaleammat viivat näyttävät suunnat havaintoasemilta meteorin ilmestyessä, ja tummemmat viivat näyttävät, missä se viimeksi nähtiin. Sininen nuoli näyttää meteorin näkyvän lennon.

static map
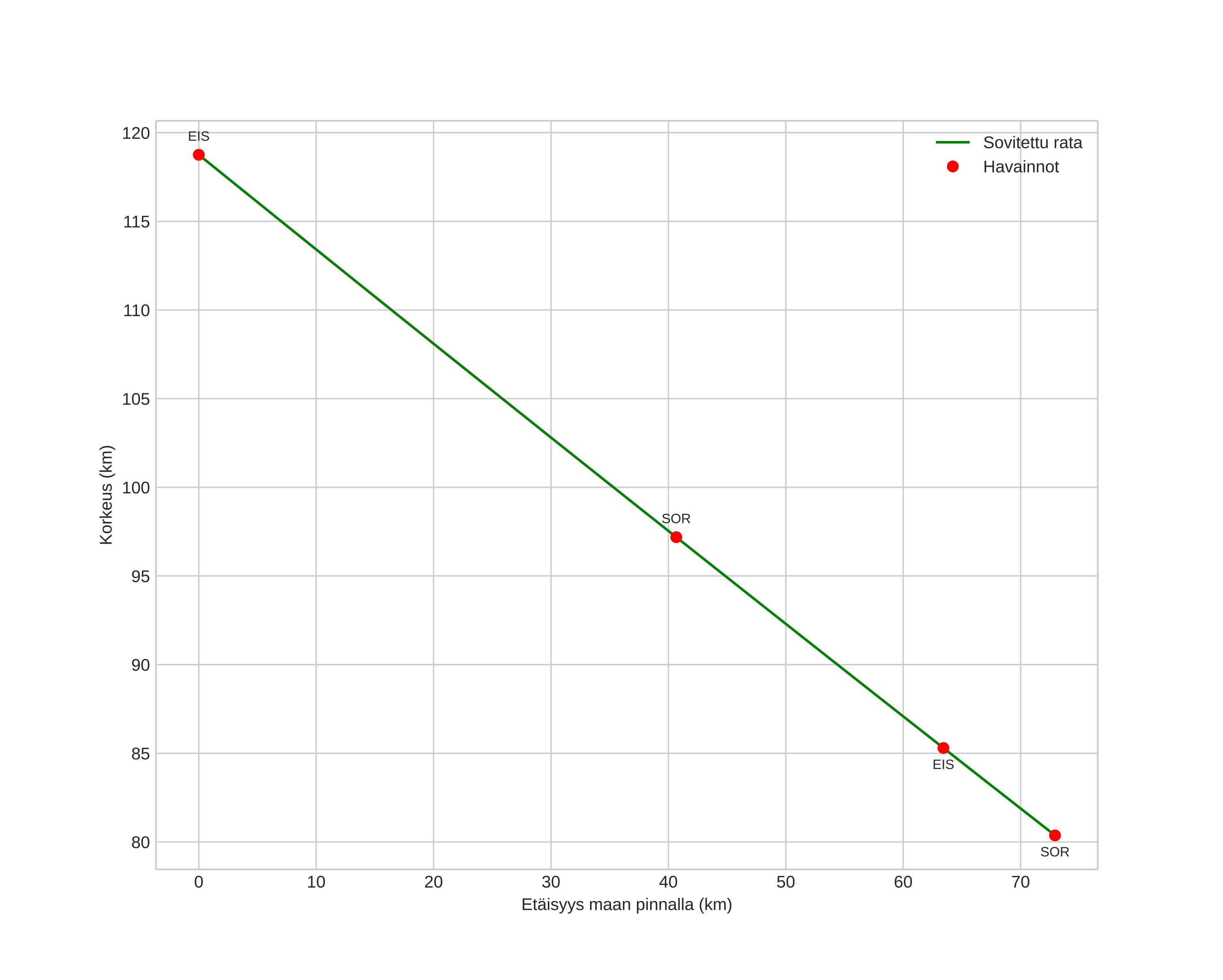
height profile
Meteorin ilmakehärata:
Alkukorkeus: 120,0 km
Loppukorkeus: 82,5 km
Alkupiste: 69,654N 25,642E
Loppupiste: 69,818N 23,828E
Suunta: 285,5°
Kallistuskulma: 27,4°
Tulonopeus: 62,4 km/s
Radiantin R,A,: 10:55 (163,9°)
Radiantin Dekl,: 20,1°
Meteoriparvi: Sporadinen
Meteoroidin rataelementit:
Perihelietäisyys: 0,252 AU
Eksentrisyys: 1,644
Inklinaatio: 31,8°
Nousevan solmun pituus: 328,5°
Perihelin argumentti: 281,4°
Keskianomalia: -98,6°
Epookki: 2023 FEB 17 19:00:44
orbit plot

Ei-interaktiivinen kuvaaja | Interaktiivinen kuvaaja

position vs time
speed and acceleration