🇳🇴 🇬🇧 🇩🇪 🇨🇿 🇫🇮

Meteor, poloha: Myre 2023-02-17 22:44:29 UTC

Soubor KML  |  InteraktivnĂ­ mapa

Mapa zobrazuje dráhy meteoru. Světlejší čáry ukazují směry od pozorovacích stanic při objevení se meteoru a tmavší čáry, kde byl naposledy viděn. Modrá šipka značí viditelnou dráhu meteoru.

static map
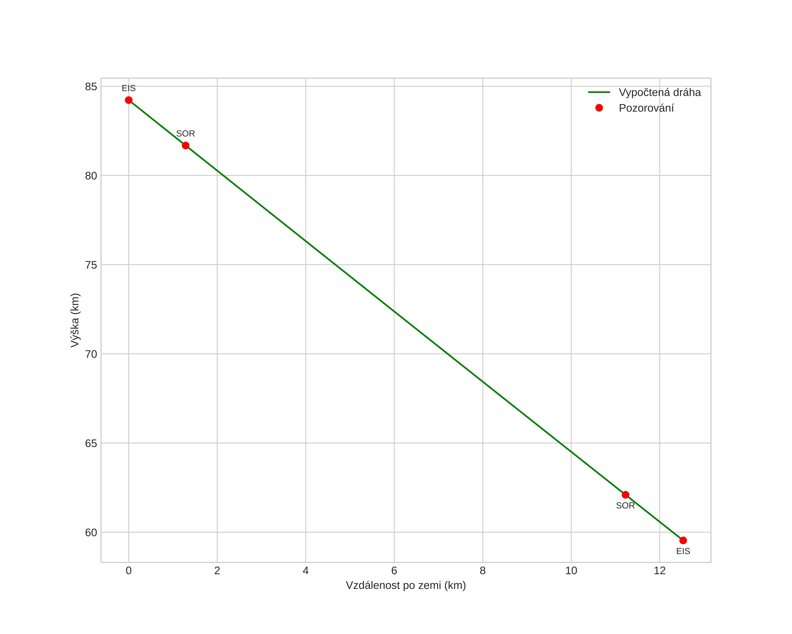
height profile
Atmosférická dráha meteoru:
Počáteční výška: 84,6 km
Konečná výška: 59,2 km
Počáteční poloha: 69,546N 14,692E
Konečná poloha: 69,649N 14,848E
Směr: 27,8°
Sklon: 63,0°
VstupnĂ­ rychlost: 21,2 km/s
Rektascenze radiantu: 08:18 (124,7°)
Deklinace radiantu: 41,8°
MeteorickĂ˝ roj: sporadickĂ˝
Elementy dráhy meteoroidu:
Vzdálenost v periheliu: 0,876 AU
Excentricita: 0,964
Sklon dráhy: 9,7°
Délka vzestupného uzlu: 328,7°
Argument perihelia: 219,8°
Střední anomálie: 359,8°
Epocha: 2023 FEB 17 22:44:29
orbit plot

NeinteraktivnĂ­ graf | InteraktivnĂ­ graf

position vs time
speed and acceleration