🇳🇴 🇬🇧 🇩🇪 🇨🇿 🇫🇮

Meteor Myren yllä 2023-02-17 22:44:29 UTC

KML-tiedosto  |  Interaktiivinen kartta

Kartta näyttää meteorin suuntahavainnot. Vaaleammat viivat näyttävät suunnat havaintoasemilta meteorin ilmestyessä, ja tummemmat viivat näyttävät, missä se viimeksi nähtiin. Sininen nuoli näyttää meteorin näkyvän lennon.

static map
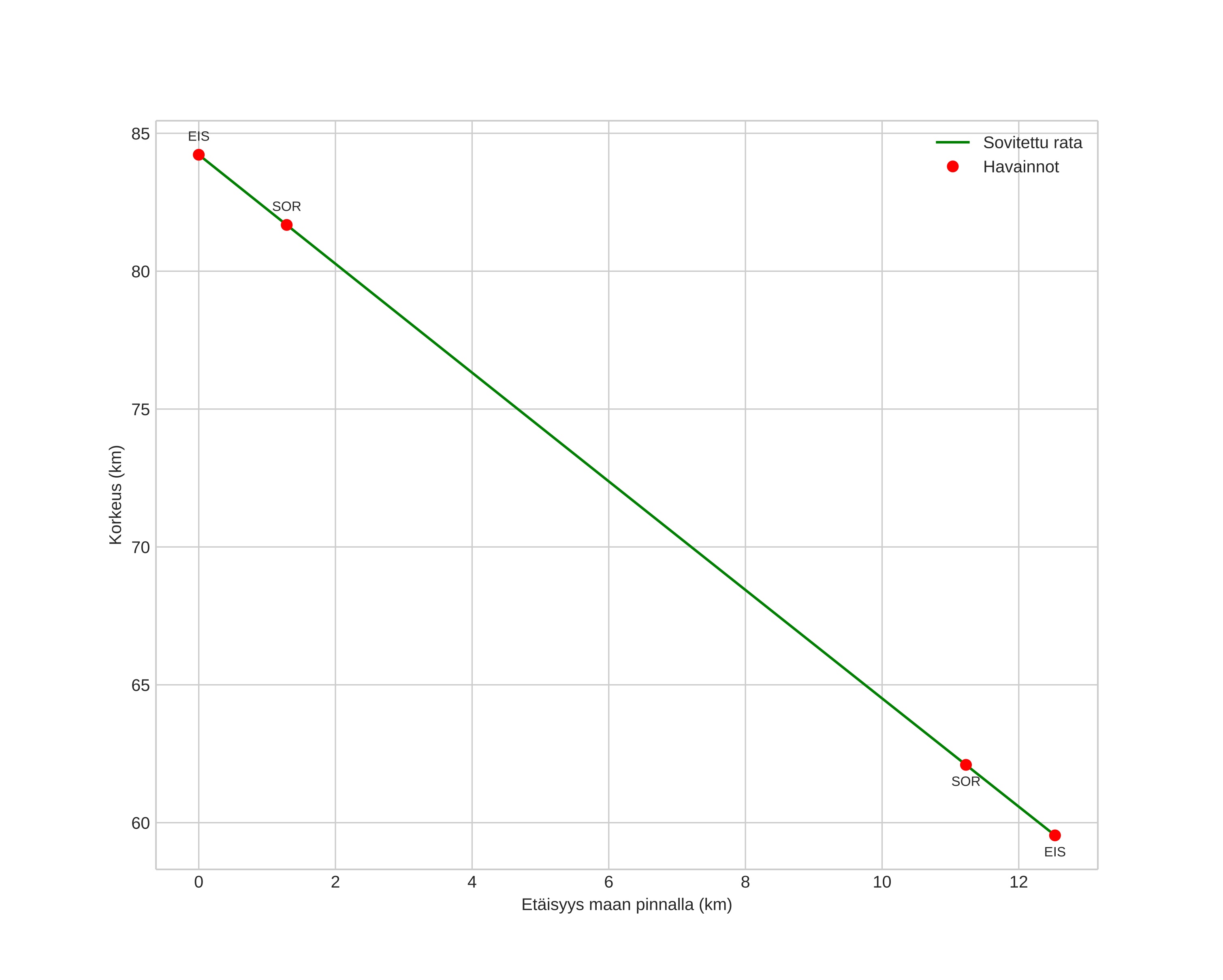
height profile
Meteorin ilmakehärata:
Alkukorkeus: 84,6 km
Loppukorkeus: 59,2 km
Alkupiste: 69,546N 14,692E
Loppupiste: 69,649N 14,848E
Suunta: 27,8°
Kallistuskulma: 63,0°
Tulonopeus: 21,2 km/s
Radiantin R,A,: 08:18 (124,7°)
Radiantin Dekl,: 41,8°
Meteoriparvi: Sporadinen
Meteoroidin rataelementit:
Perihelietäisyys: 0,876 AU
Eksentrisyys: 0,964
Inklinaatio: 9,7°
Nousevan solmun pituus: 328,7°
Perihelin argumentti: 219,8°
Keskianomalia: 359,8°
Epookki: 2023 FEB 17 22:44:29
orbit plot

Ei-interaktiivinen kuvaaja | Interaktiivinen kuvaaja

position vs time
speed and acceleration