🇳🇴 🇬🇧 🇩🇪 🇨🇿 🇫🇮

Meteor, poloha: Løkken 2023-02-18 21:32:28 UTC

Soubor KML  |  InteraktivnĂ­ mapa

Mapa zobrazuje dráhy meteoru. Světlejší čáry ukazují směry od pozorovacích stanic při objevení se meteoru a tmavší čáry, kde byl naposledy viděn. Modrá šipka značí viditelnou dráhu meteoru.

static map
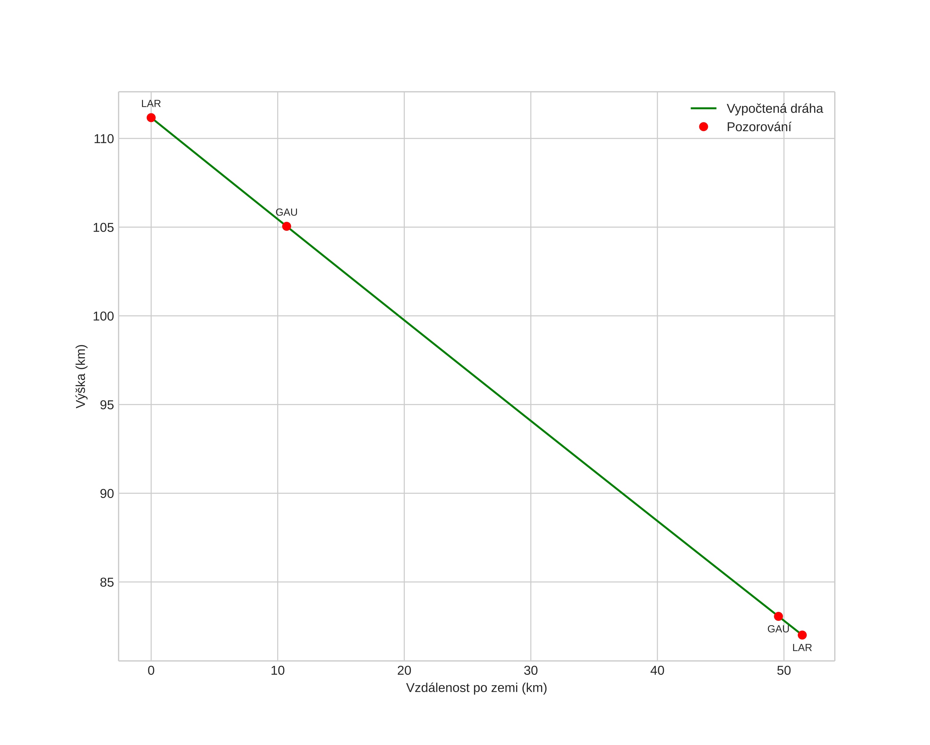
height profile
Atmosférická dráha meteoru:
Počáteční výška: 110,6 km
Konečná výška: 82,0 km
Počáteční poloha: 57,612N 10,431E
Konečná poloha: 57,365N 9,695E
Směr: 238,3°
Sklon: 28,9°
VstupnĂ­ rychlost: 48,8 km/s
Rektascenze radiantu: 14:49 (222,4°)
Deklinace radiantu: 40,4°
MeteorickĂ˝ roj: sporadickĂ˝
Elementy dráhy meteoroidu:
Vzdálenost v periheliu: 0,821 AU
Excentricita: 1,006
Sklon dráhy: 78,1°
Délka vzestupného uzlu: 329,6°
Argument perihelia: 228,6°
Střední anomálie: -0,0°
Epocha: 2023 FEB 18 21:32:28
orbit plot

NeinteraktivnĂ­ graf | InteraktivnĂ­ graf

position vs time
speed and acceleration