🇳🇴 🇬🇧 🇩🇪 🇨🇿 🇫🇮

Meteor Løkkenin yllä 2023-02-18 21:32:28 UTC

KML-tiedosto  |  Interaktiivinen kartta

Kartta näyttää meteorin suuntahavainnot. Vaaleammat viivat näyttävät suunnat havaintoasemilta meteorin ilmestyessä, ja tummemmat viivat näyttävät, missä se viimeksi nähtiin. Sininen nuoli näyttää meteorin näkyvän lennon.

static map
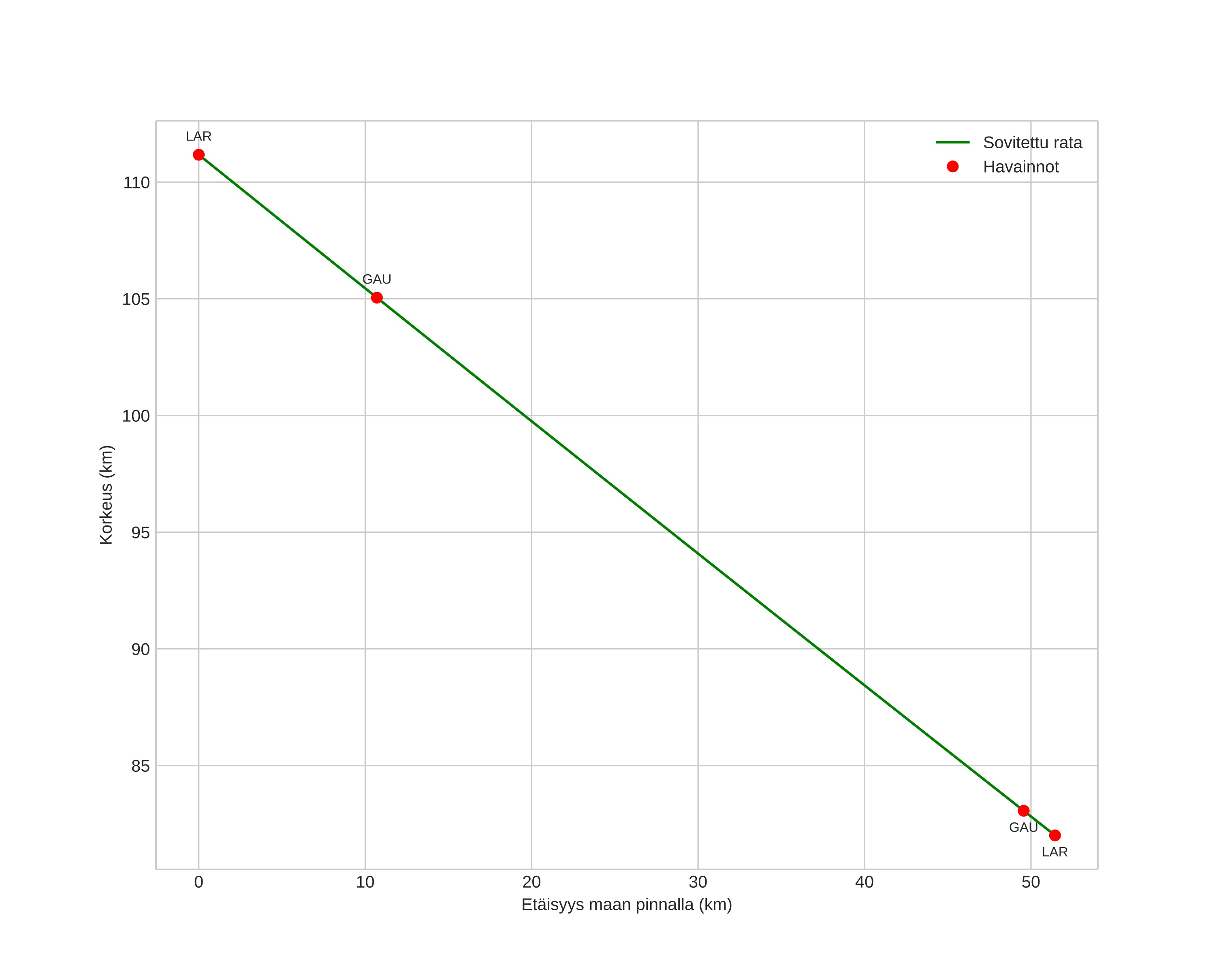
height profile
Meteorin ilmakehärata:
Alkukorkeus: 110,6 km
Loppukorkeus: 82,0 km
Alkupiste: 57,612N 10,431E
Loppupiste: 57,365N 9,695E
Suunta: 238,3°
Kallistuskulma: 28,9°
Tulonopeus: 48,8 km/s
Radiantin R,A,: 14:49 (222,4°)
Radiantin Dekl,: 40,4°
Meteoriparvi: Sporadinen
Meteoroidin rataelementit:
Perihelietäisyys: 0,821 AU
Eksentrisyys: 1,006
Inklinaatio: 78,1°
Nousevan solmun pituus: 329,6°
Perihelin argumentti: 228,6°
Keskianomalia: -0,0°
Epookki: 2023 FEB 18 21:32:28
orbit plot

Ei-interaktiivinen kuvaaja | Interaktiivinen kuvaaja

position vs time
speed and acceleration