🇳🇴 🇬🇧 🇩🇪 🇨🇿 🇫🇮

Meteor, poloha: Burfjord 2023-02-20 18:17:36 UTC

Soubor KML  |  InteraktivnĂ­ mapa

Mapa zobrazuje dráhy meteoru. Světlejší čáry ukazují směry od pozorovacích stanic při objevení se meteoru a tmavší čáry, kde byl naposledy viděn. Modrá šipka značí viditelnou dráhu meteoru.

static map
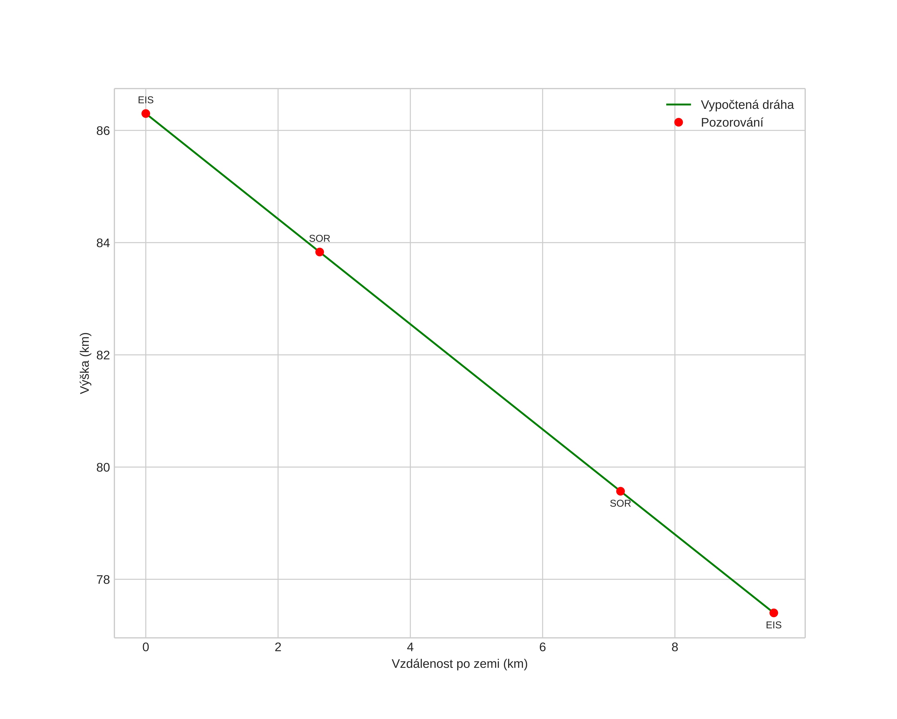
height profile
Atmosférická dráha meteoru:
Počáteční výška: 85,1 km
Konečná výška: 76,5 km
Počáteční poloha: 70,528N 21,419E
Konečná poloha: 70,466N 21,601E
Směr: 135,8°
Sklon: 41,5°
VstupnĂ­ rychlost: 18,6 km/s
Rektascenze radiantu: 21:37 (324,5°)
Deklinace radiantu: 47,8°
MeteorickĂ˝ roj: sporadickĂ˝
Elementy dráhy meteoroidu:
Vzdálenost v periheliu: 0,917 AU
Excentricita: 0,513
Sklon dráhy: 20,7°
Délka vzestupného uzlu: 331,5°
Argument perihelia: 141,8°
Střední anomálie: 11,1°
Epocha: 2023 FEB 20 18:17:36
orbit plot

NeinteraktivnĂ­ graf | InteraktivnĂ­ graf

position vs time
speed and acceleration