🇳🇴 🇬🇧 🇩🇪 🇨🇿 🇫🇮

Meteor Burfjordin yllä 2023-02-20 18:17:36 UTC

KML-tiedosto  |  Interaktiivinen kartta

Kartta näyttää meteorin suuntahavainnot. Vaaleammat viivat näyttävät suunnat havaintoasemilta meteorin ilmestyessä, ja tummemmat viivat näyttävät, missä se viimeksi nähtiin. Sininen nuoli näyttää meteorin näkyvän lennon.

static map
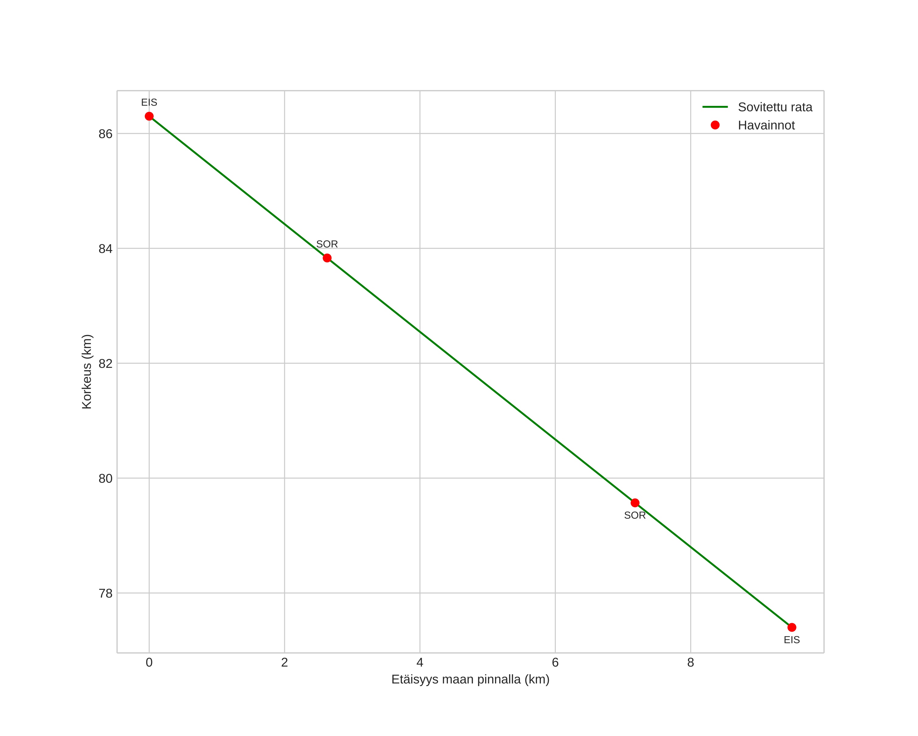
height profile
Meteorin ilmakehärata:
Alkukorkeus: 85,1 km
Loppukorkeus: 76,5 km
Alkupiste: 70,528N 21,419E
Loppupiste: 70,466N 21,601E
Suunta: 135,8°
Kallistuskulma: 41,5°
Tulonopeus: 18,6 km/s
Radiantin R,A,: 21:37 (324,5°)
Radiantin Dekl,: 47,8°
Meteoriparvi: Sporadinen
Meteoroidin rataelementit:
Perihelietäisyys: 0,917 AU
Eksentrisyys: 0,513
Inklinaatio: 20,7°
Nousevan solmun pituus: 331,5°
Perihelin argumentti: 141,8°
Keskianomalia: 11,1°
Epookki: 2023 FEB 20 18:17:36
orbit plot

Ei-interaktiivinen kuvaaja | Interaktiivinen kuvaaja

position vs time
speed and acceleration