🇳🇴 🇬🇧 🇩🇪 🇨🇿 🇫🇮

Meteor, poloha: Kibæk 2023-02-21 00:14:34 UTC

Soubor KML  |  InteraktivnĂ­ mapa

Mapa zobrazuje dráhy meteoru. Světlejší čáry ukazují směry od pozorovacích stanic při objevení se meteoru a tmavší čáry, kde byl naposledy viděn. Modrá šipka značí viditelnou dráhu meteoru.

static map
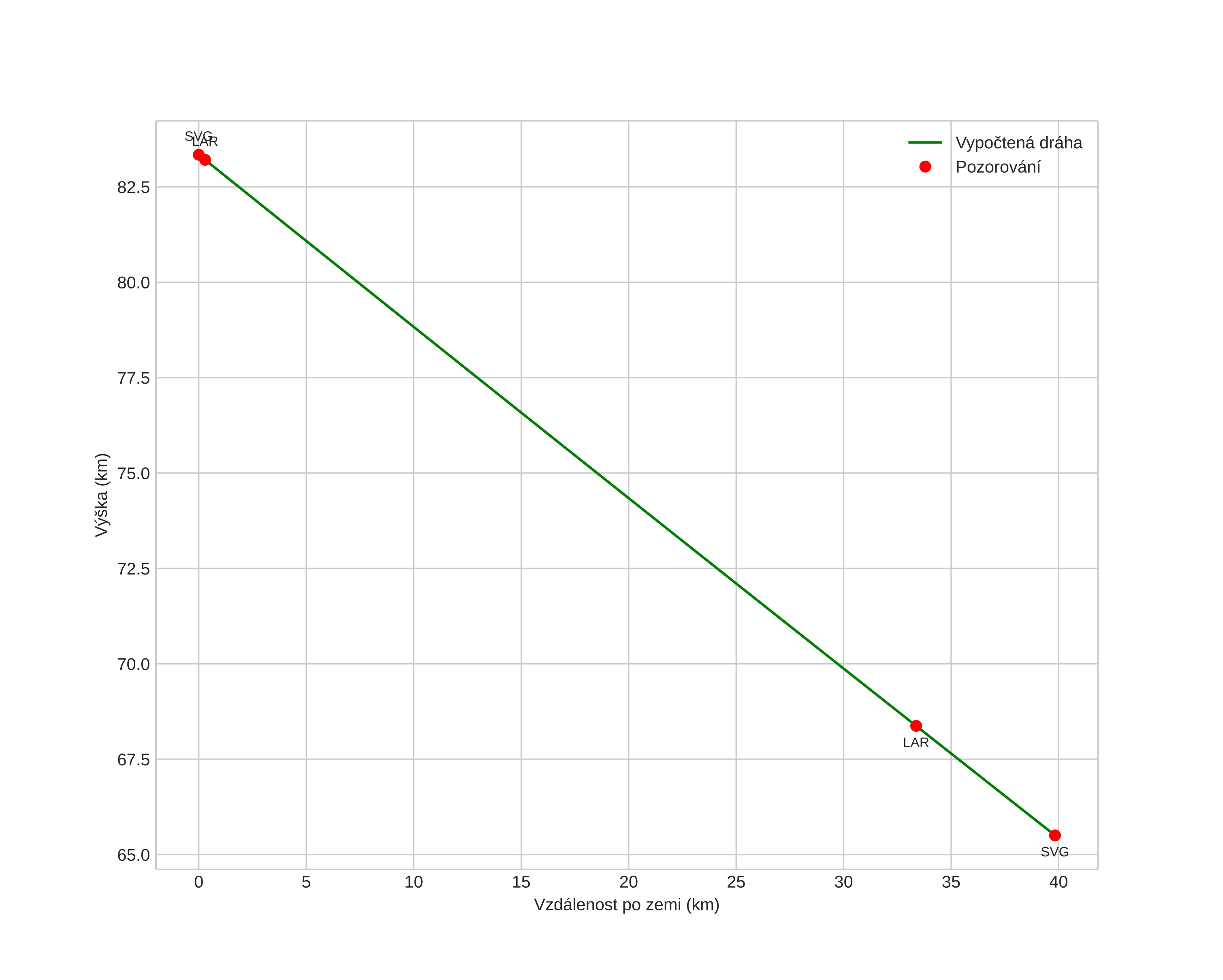
height profile
Atmosférická dráha meteoru:
Počáteční výška: 83,3 km
Konečná výška: 65,7 km
Počáteční poloha: 56,262N 9,269E
Konečná poloha: 55,961N 8,921E
Směr: 213,0°
Sklon: 23,9°
VstupnĂ­ rychlost: 29,1 km/s
Rektascenze radiantu: 19:42 (295,5°)
Deklinace radiantu: 47,3°
MeteorickĂ˝ roj: sporadickĂ˝
Elementy dráhy meteoroidu:
Vzdálenost v periheliu: 0,894 AU
Excentricita: 0,677
Sklon dráhy: 41,8°
Délka vzestupného uzlu: 331,8°
Argument perihelia: 139,6°
Střední anomálie: 6,1°
Epocha: 2023 FEB 21 00:14:34
orbit plot

NeinteraktivnĂ­ graf | InteraktivnĂ­ graf

position vs time
speed and acceleration