🇳🇴 🇬🇧 🇩🇪 🇨🇿 🇫🇮

Meteor Kibækin yllä 2023-02-21 00:14:34 UTC

KML-tiedosto  |  Interaktiivinen kartta

Kartta näyttää meteorin suuntahavainnot. Vaaleammat viivat näyttävät suunnat havaintoasemilta meteorin ilmestyessä, ja tummemmat viivat näyttävät, missä se viimeksi nähtiin. Sininen nuoli näyttää meteorin näkyvän lennon.

static map
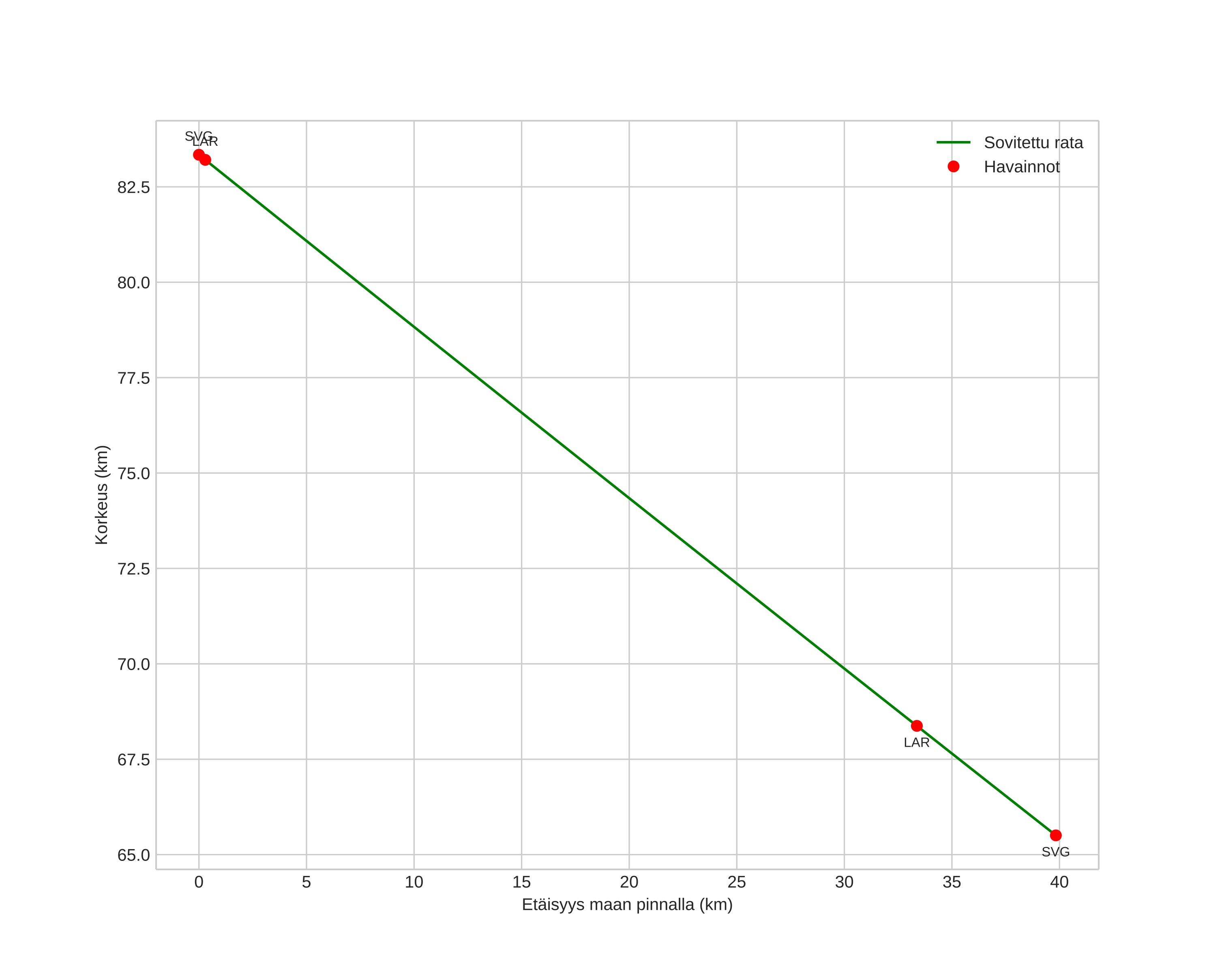
height profile
Meteorin ilmakehärata:
Alkukorkeus: 83,3 km
Loppukorkeus: 65,7 km
Alkupiste: 56,262N 9,269E
Loppupiste: 55,961N 8,921E
Suunta: 213,0°
Kallistuskulma: 23,9°
Tulonopeus: 29,1 km/s
Radiantin R,A,: 19:42 (295,5°)
Radiantin Dekl,: 47,3°
Meteoriparvi: Sporadinen
Meteoroidin rataelementit:
Perihelietäisyys: 0,894 AU
Eksentrisyys: 0,677
Inklinaatio: 41,8°
Nousevan solmun pituus: 331,8°
Perihelin argumentti: 139,6°
Keskianomalia: 6,1°
Epookki: 2023 FEB 21 00:14:34
orbit plot

Ei-interaktiivinen kuvaaja | Interaktiivinen kuvaaja

position vs time
speed and acceleration