🇳🇴 🇬🇧 🇩🇪 🇨🇿 🇫🇮

Meteor, poloha: Töreboda 2023-02-25 19:20:26 UTC

Soubor KML  |  InteraktivnĂ­ mapa

Mapa zobrazuje dráhy meteoru. Světlejší čáry ukazují směry od pozorovacích stanic při objevení se meteoru a tmavší čáry, kde byl naposledy viděn. Modrá šipka značí viditelnou dráhu meteoru.

static map
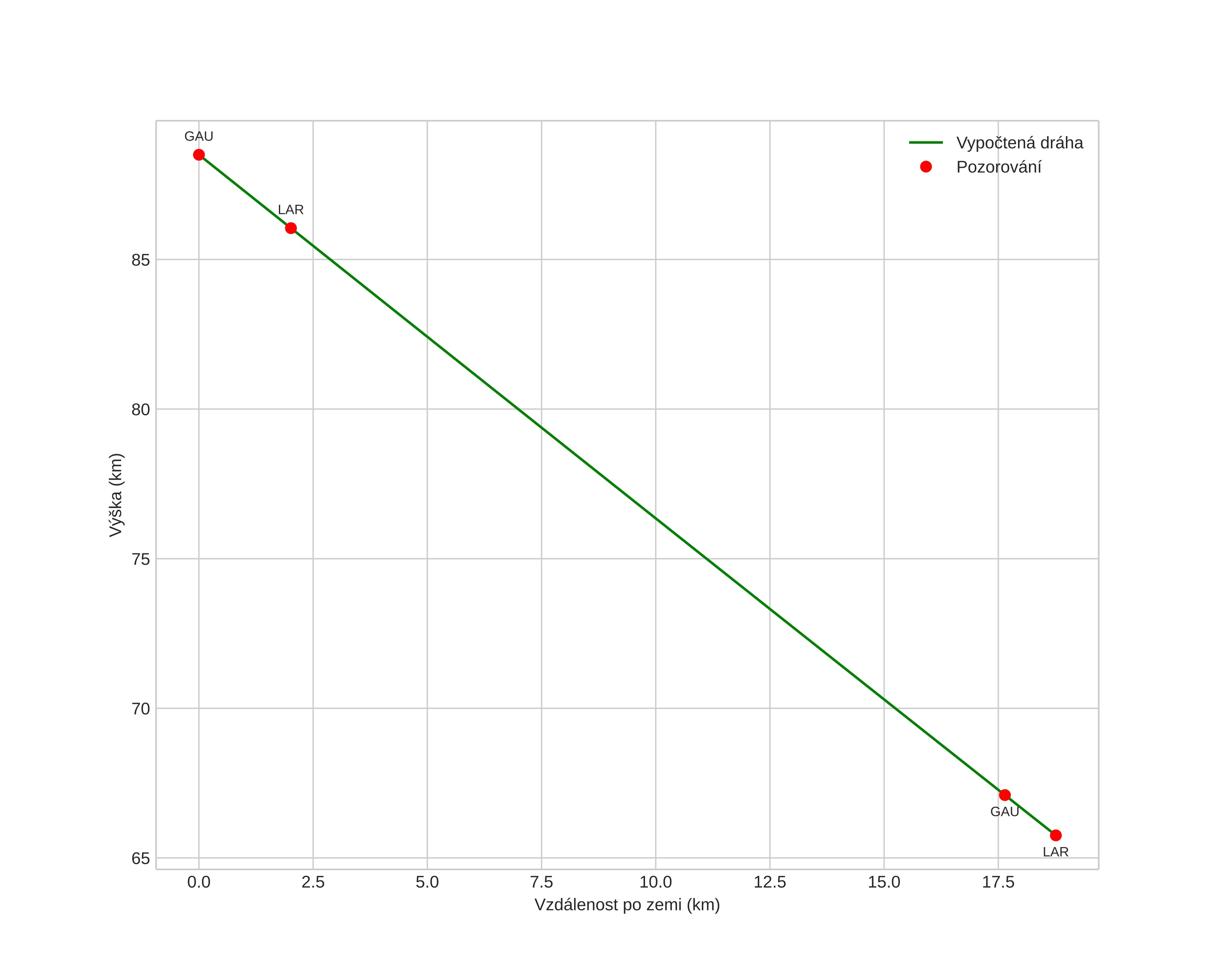
height profile
Atmosférická dráha meteoru:
Počáteční výška: 88,7 km
Konečná výška: 65,7 km
Počáteční poloha: 58,601N 14,350E
Konečná poloha: 58,725N 14,126E
Směr: 316,9°
Sklon: 50,5°
VstupnĂ­ rychlost: 18,8 km/s
Rektascenze radiantu: 08:36 (129,0°)
Deklinace radiantu: 20,7°
MeteorickĂ˝ roj: sporadickĂ˝
Elementy dráhy meteoroidu:
Vzdálenost v periheliu: 0,878 AU
Excentricita: 0,789
Sklon dráhy: 0,8°
Délka vzestupného uzlu: 336,5°
Argument perihelia: 222,1°
Střední anomálie: 356,7°
Epocha: 2023 FEB 25 19:20:26
orbit plot

NeinteraktivnĂ­ graf | InteraktivnĂ­ graf

position vs time
speed and acceleration