🇳🇴 🇬🇧 🇩🇪 🇨🇿 🇫🇮

Meteor Törebodan yllä 2023-02-25 19:20:26 UTC

KML-tiedosto  |  Interaktiivinen kartta

Kartta näyttää meteorin suuntahavainnot. Vaaleammat viivat näyttävät suunnat havaintoasemilta meteorin ilmestyessä, ja tummemmat viivat näyttävät, missä se viimeksi nähtiin. Sininen nuoli näyttää meteorin näkyvän lennon.

static map
height profile
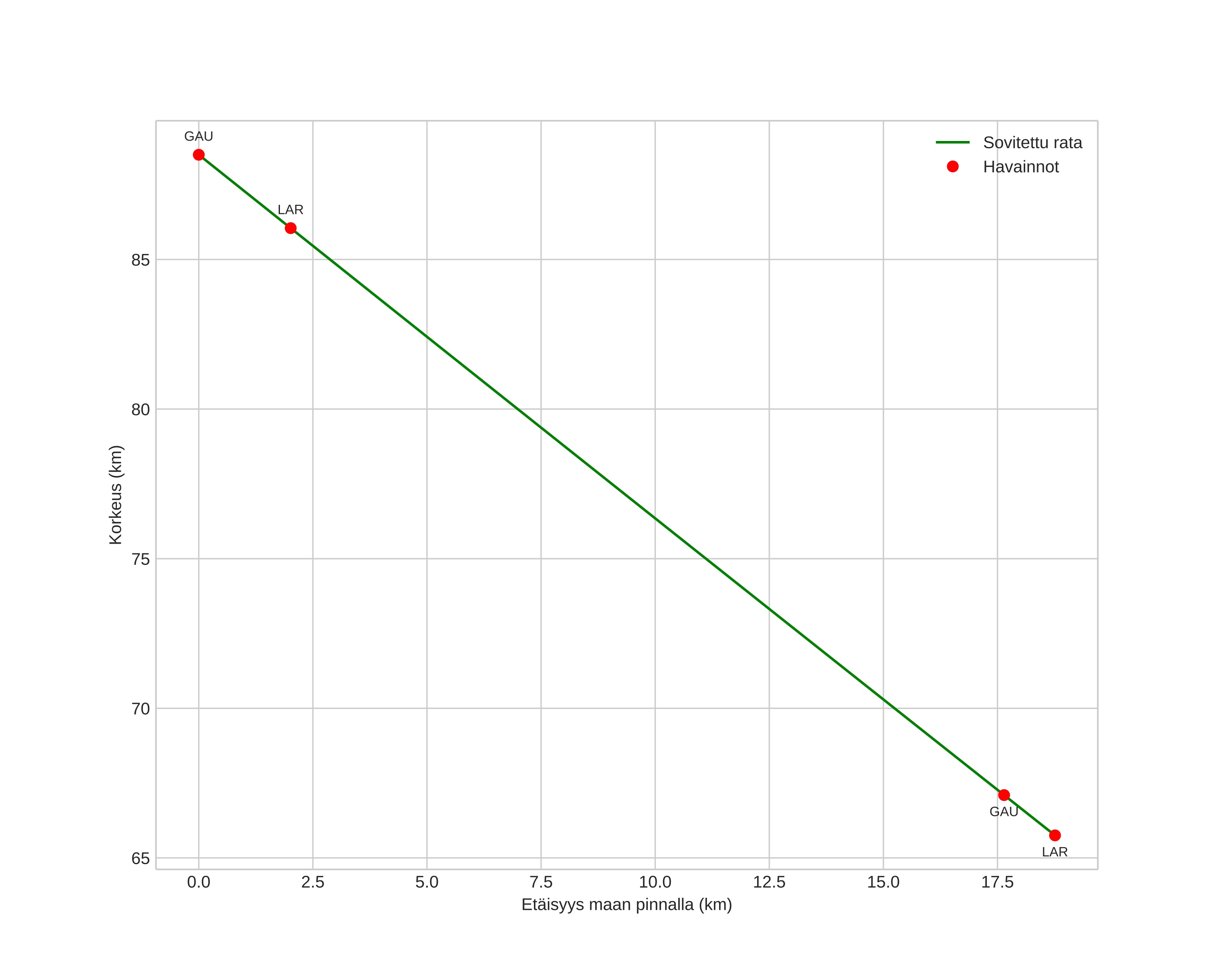
Meteorin ilmakehärata:
Alkukorkeus: 88,7 km
Loppukorkeus: 65,7 km
Alkupiste: 58,601N 14,350E
Loppupiste: 58,725N 14,126E
Suunta: 316,9°
Kallistuskulma: 50,5°
Tulonopeus: 18,8 km/s
Radiantin R,A,: 08:36 (129,0°)
Radiantin Dekl,: 20,7°
Meteoriparvi: Sporadinen
Meteoroidin rataelementit:
Perihelietäisyys: 0,878 AU
Eksentrisyys: 0,789
Inklinaatio: 0,8°
Nousevan solmun pituus: 336,5°
Perihelin argumentti: 222,1°
Keskianomalia: 356,7°
Epookki: 2023 FEB 25 19:20:26
orbit plot

Ei-interaktiivinen kuvaaja | Interaktiivinen kuvaaja

position vs time
speed and acceleration