🇳🇴 🇬🇧 🇩🇪 🇨🇿 🇫🇮

Meteor, poloha: Fredrikstad 2023-02-25 19:44:55 UTC

Soubor KML  |  InteraktivnĂ­ mapa

Mapa zobrazuje dráhy meteoru. Světlejší čáry ukazují směry od pozorovacích stanic při objevení se meteoru a tmavší čáry, kde byl naposledy viděn. Modrá šipka značí viditelnou dráhu meteoru.

static map
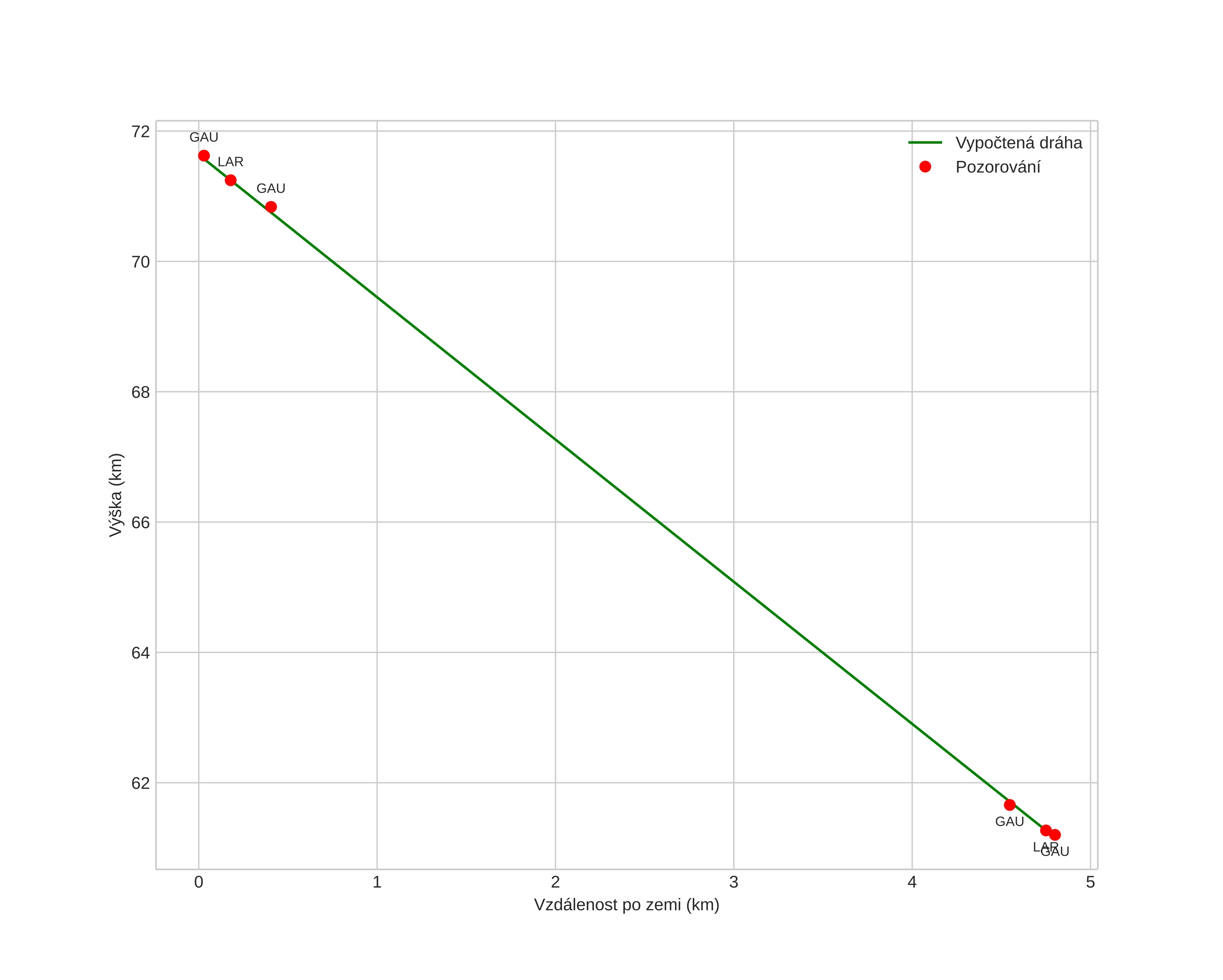
height profile
Atmosférická dráha meteoru:
Počáteční výška: 71,8 km
Konečná výška: 61,1 km
Počáteční poloha: 59,271N 10,953E
Konečná poloha: 59,313N 10,982E
Směr: 19,3°
Sklon: 65,4°
VstupnĂ­ rychlost: 13,6 km/s
Rektascenze radiantu: 05:57 (89,5°)
Deklinace radiantu: 28,6°
MeteorickĂ˝ roj: sporadickĂ˝
Elementy dráhy meteoroidu:
Vzdálenost v periheliu: 0,983 AU
Excentricita: 0,563
Sklon dráhy: 1,1°
Délka vzestupného uzlu: 336,6°
Argument perihelia: 191,4°
Střední anomálie: 357,4°
Epocha: 2023 FEB 25 19:44:55
orbit plot

NeinteraktivnĂ­ graf | InteraktivnĂ­ graf

position vs time
speed and acceleration