🇳🇴 🇬🇧 🇩🇪 🇨🇿 🇫🇮

Meteor Fredrikstadin yllä 2023-02-25 19:44:55 UTC

KML-tiedosto  |  Interaktiivinen kartta

Kartta näyttää meteorin suuntahavainnot. Vaaleammat viivat näyttävät suunnat havaintoasemilta meteorin ilmestyessä, ja tummemmat viivat näyttävät, missä se viimeksi nähtiin. Sininen nuoli näyttää meteorin näkyvän lennon.

static map
height profile
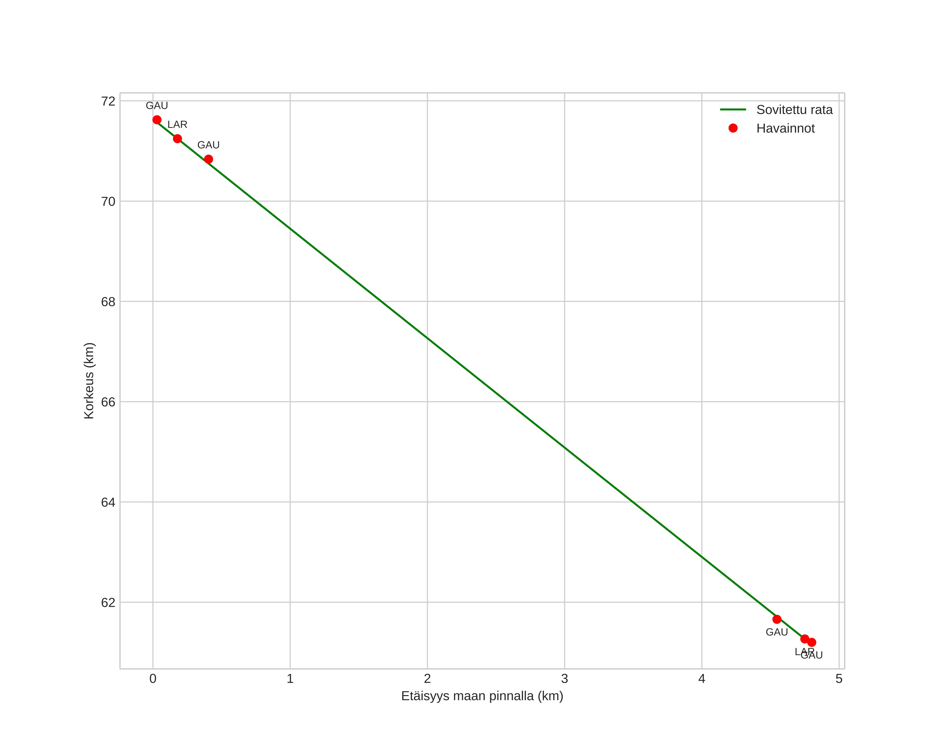
Meteorin ilmakehärata:
Alkukorkeus: 71,8 km
Loppukorkeus: 61,1 km
Alkupiste: 59,271N 10,953E
Loppupiste: 59,313N 10,982E
Suunta: 19,3°
Kallistuskulma: 65,4°
Tulonopeus: 13,6 km/s
Radiantin R,A,: 05:57 (89,5°)
Radiantin Dekl,: 28,6°
Meteoriparvi: Sporadinen
Meteoroidin rataelementit:
Perihelietäisyys: 0,983 AU
Eksentrisyys: 0,563
Inklinaatio: 1,1°
Nousevan solmun pituus: 336,6°
Perihelin argumentti: 191,4°
Keskianomalia: 357,4°
Epookki: 2023 FEB 25 19:44:55
orbit plot

Ei-interaktiivinen kuvaaja | Interaktiivinen kuvaaja

position vs time
speed and acceleration