🇳🇴 🇬🇧 🇩🇪 🇨🇿 🇫🇮

Meteor, poloha: Munkfors 2023-02-26 01:20:57 UTC

Soubor KML  |  InteraktivnĂ­ mapa

Mapa zobrazuje dráhy meteoru. Světlejší čáry ukazují směry od pozorovacích stanic při objevení se meteoru a tmavší čáry, kde byl naposledy viděn. Modrá šipka značí viditelnou dráhu meteoru.

static map
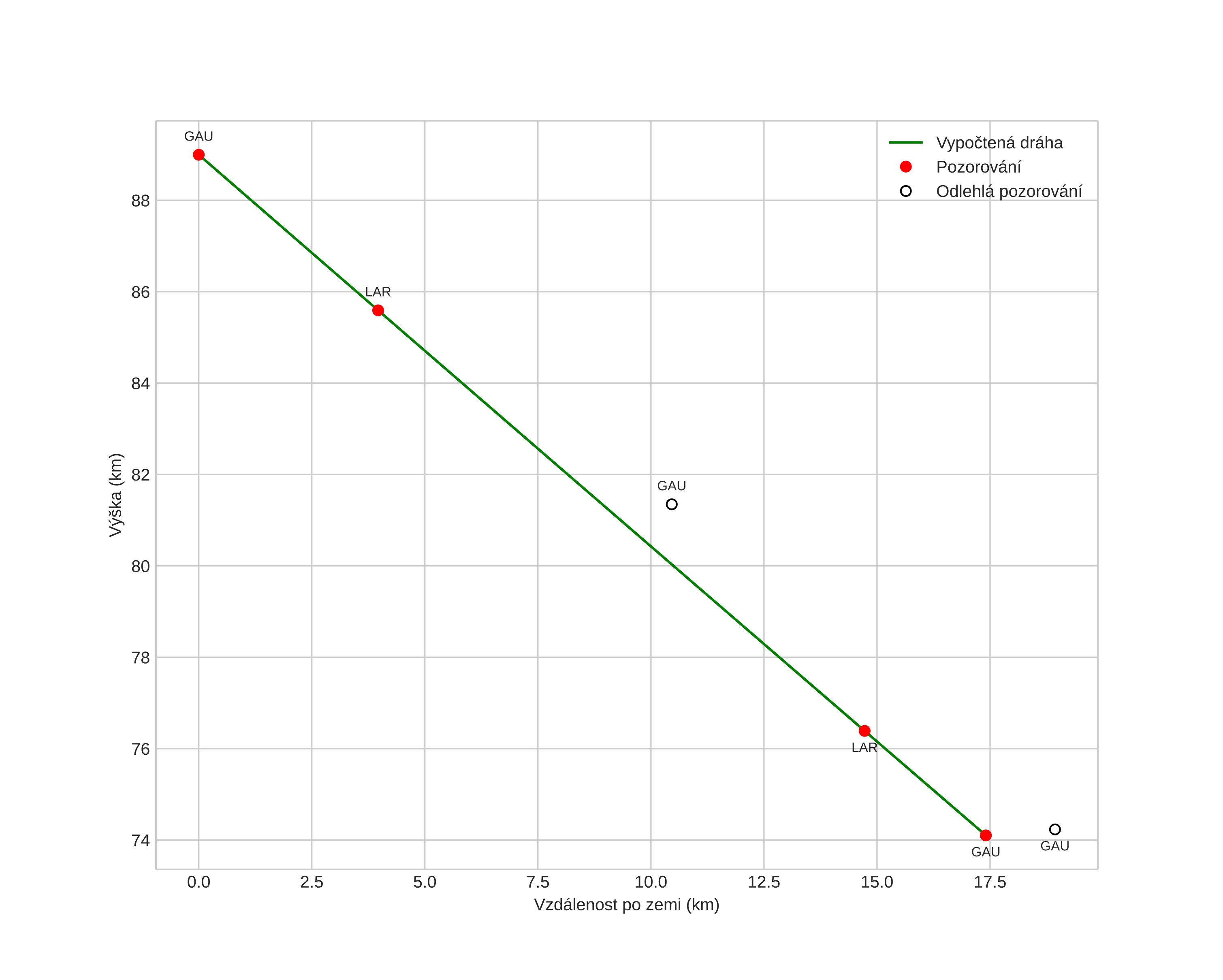
height profile
Atmosférická dráha meteoru:
Počáteční výška: 89,1 km
Konečná výška: 73,6 km
Počáteční poloha: 59,878N 13,197E
Konečná poloha: 59,784N 13,432E
Směr: 128,5°
Sklon: 42,8°
VstupnĂ­ rychlost: 14,4 km/s
Rektascenze radiantu: 05:32 (83,0°)
Deklinace radiantu: 45,4°
MeteorickĂ˝ roj: sporadickĂ˝
Elementy dráhy meteoroidu:
Vzdálenost v periheliu: 0,986 AU
Excentricita: 0,666
Sklon dráhy: 5,3°
Délka vzestupného uzlu: 336,8°
Argument perihelia: 188,5°
Střední anomálie: 358,7°
Epocha: 2023 FEB 26 01:20:57
orbit plot

NeinteraktivnĂ­ graf | InteraktivnĂ­ graf

position vs time
speed and acceleration