🇳🇴 🇬🇧 🇩🇪 🇨🇿 🇫🇮

Meteor Munkforsin yllä 2023-02-26 01:20:57 UTC

KML-tiedosto  |  Interaktiivinen kartta

Kartta näyttää meteorin suuntahavainnot. Vaaleammat viivat näyttävät suunnat havaintoasemilta meteorin ilmestyessä, ja tummemmat viivat näyttävät, missä se viimeksi nähtiin. Sininen nuoli näyttää meteorin näkyvän lennon.

static map
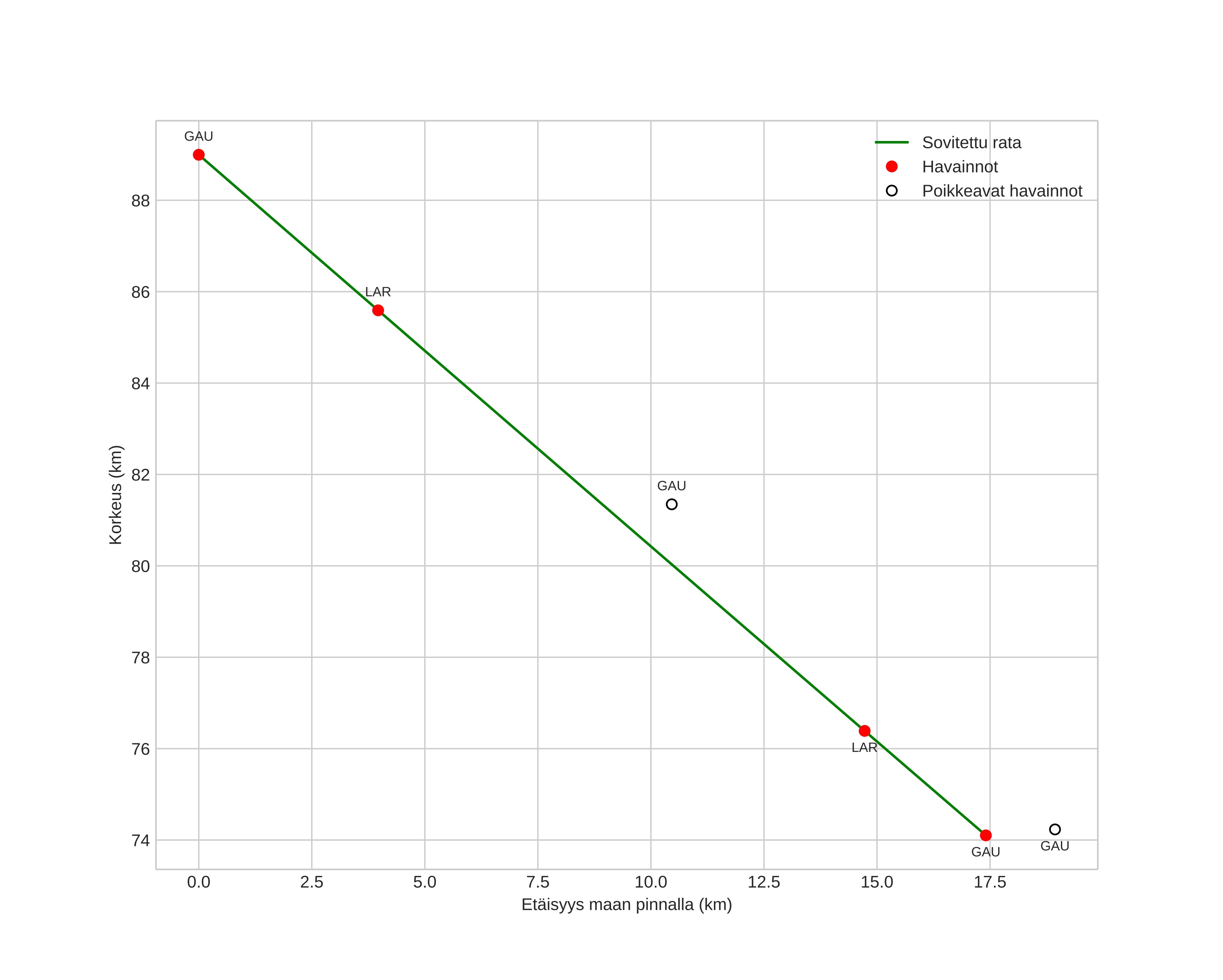
height profile
Meteorin ilmakehärata:
Alkukorkeus: 89,1 km
Loppukorkeus: 73,6 km
Alkupiste: 59,878N 13,197E
Loppupiste: 59,784N 13,432E
Suunta: 128,5°
Kallistuskulma: 42,8°
Tulonopeus: 14,4 km/s
Radiantin R,A,: 05:32 (83,0°)
Radiantin Dekl,: 45,4°
Meteoriparvi: Sporadinen
Meteoroidin rataelementit:
Perihelietäisyys: 0,986 AU
Eksentrisyys: 0,666
Inklinaatio: 5,3°
Nousevan solmun pituus: 336,8°
Perihelin argumentti: 188,5°
Keskianomalia: 358,7°
Epookki: 2023 FEB 26 01:20:57
orbit plot

Ei-interaktiivinen kuvaaja | Interaktiivinen kuvaaja

position vs time
speed and acceleration