🇳🇴 🇬🇧 🇩🇪 🇨🇿 🇫🇮

Meteor, poloha: Sarpsborg 2023-02-26 01:31:27 UTC

Soubor KML  |  InteraktivnĂ­ mapa

Mapa zobrazuje dráhy meteoru. Světlejší čáry ukazují směry od pozorovacích stanic při objevení se meteoru a tmavší čáry, kde byl naposledy viděn. Modrá šipka značí viditelnou dráhu meteoru.

static map
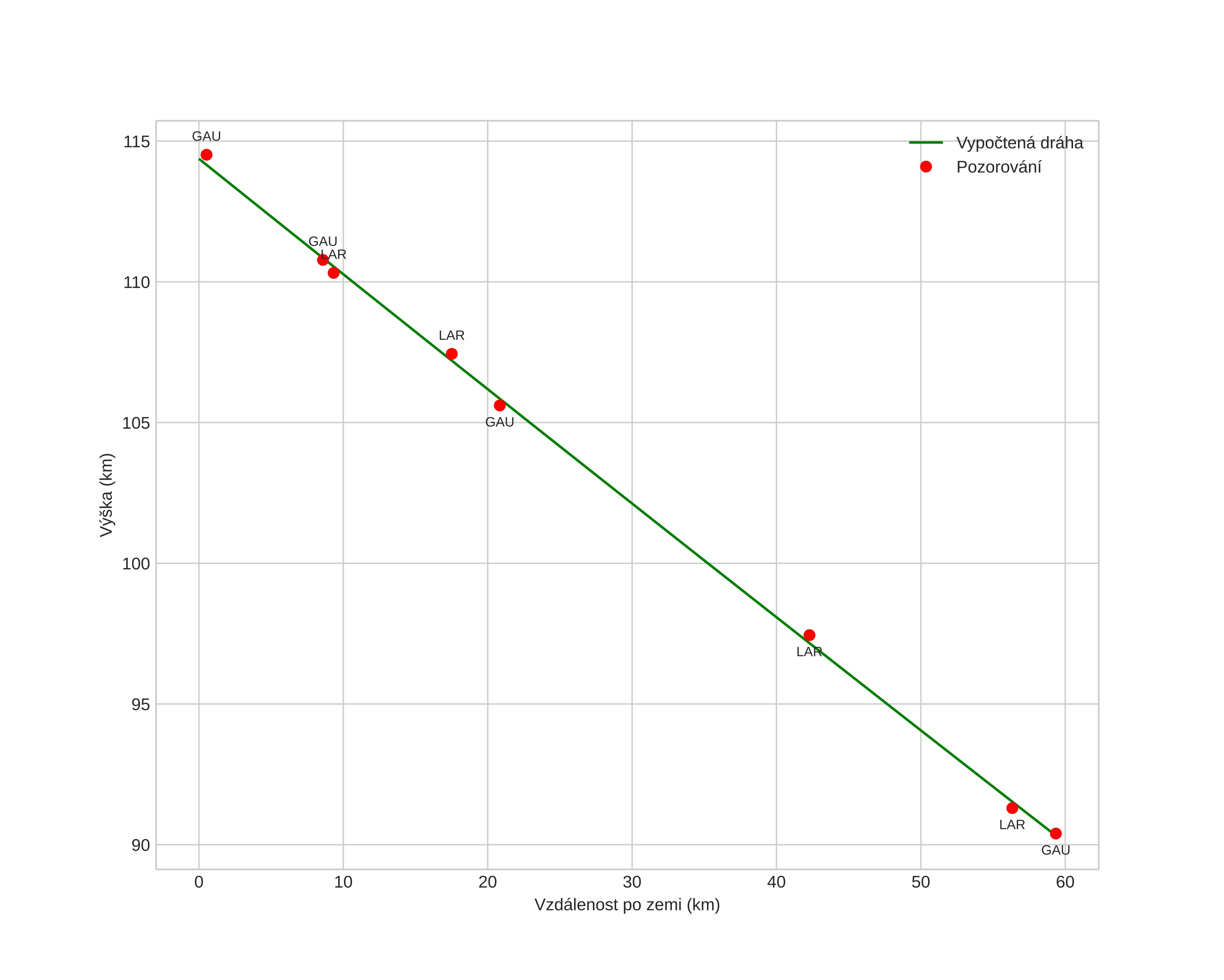
height profile
Atmosférická dráha meteoru:
Počáteční výška: 111,9 km
Konečná výška: 90,2 km
Počáteční poloha: 59,079N 11,900E
Konečná poloha: 59,320N 11,055E
Směr: 299,4°
Sklon: 21,5°
VstupnĂ­ rychlost: 73,0 km/s
Rektascenze radiantu: 16:17 (244,5°)
Deklinace radiantu: 4,2°
MeteorickĂ˝ roj: sporadickĂ˝
Elementy dráhy meteoroidu:
Vzdálenost v periheliu: 0,978 AU
Excentricita: 1,422
Sklon dráhy: 138,7°
Délka vzestupného uzlu: 336,9°
Argument perihelia: 191,6°
Střední anomálie: -2,1°
Epocha: 2023 FEB 26 01:31:27
orbit plot

NeinteraktivnĂ­ graf | InteraktivnĂ­ graf

position vs time
speed and acceleration