🇳🇴 🇬🇧 🇩🇪 🇨🇿 🇫🇮

Meteor Sarpsborgin yllä 2023-02-26 01:31:27 UTC

KML-tiedosto  |  Interaktiivinen kartta

Kartta näyttää meteorin suuntahavainnot. Vaaleammat viivat näyttävät suunnat havaintoasemilta meteorin ilmestyessä, ja tummemmat viivat näyttävät, missä se viimeksi nähtiin. Sininen nuoli näyttää meteorin näkyvän lennon.

static map
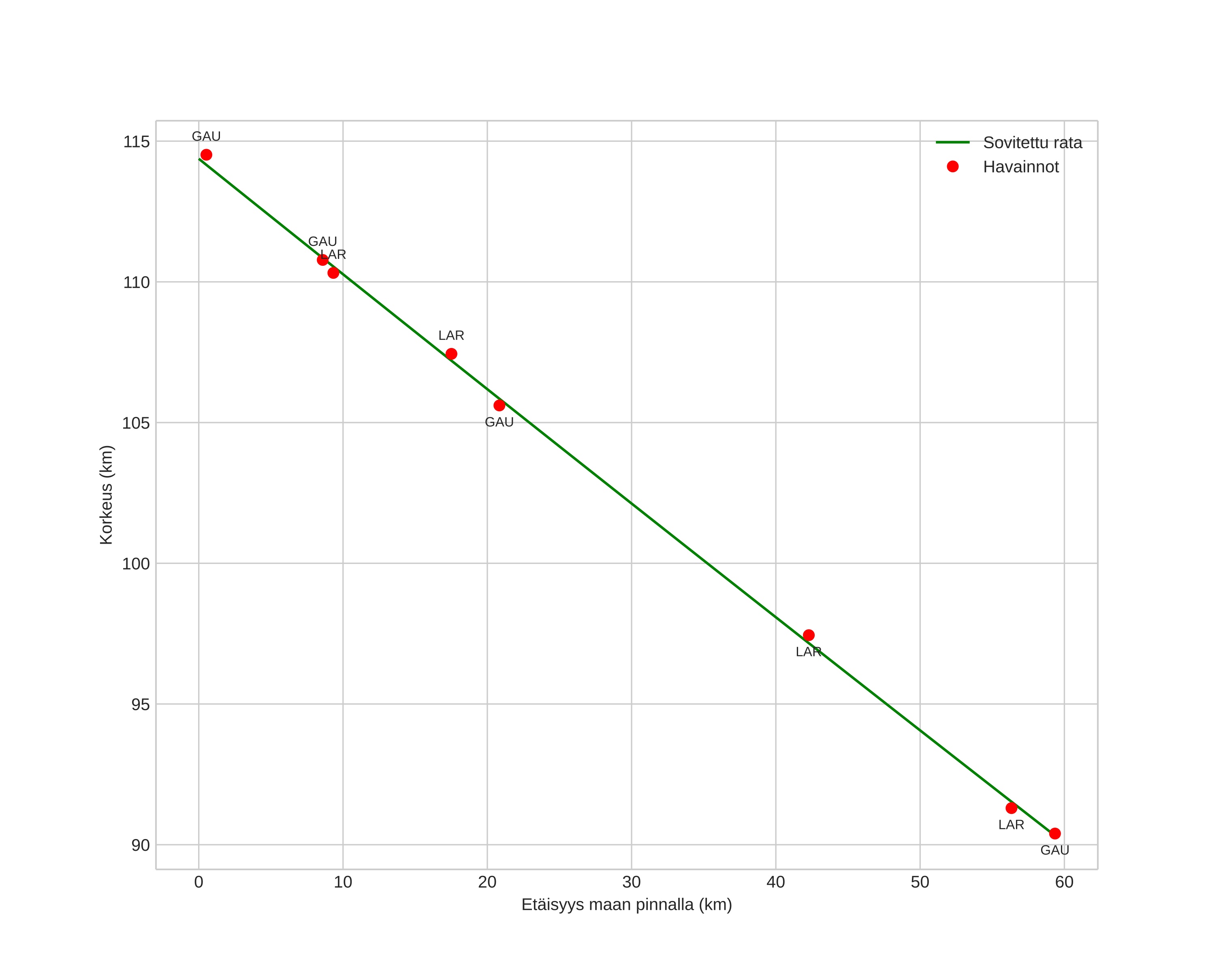
height profile
Meteorin ilmakehärata:
Alkukorkeus: 111,9 km
Loppukorkeus: 90,2 km
Alkupiste: 59,079N 11,900E
Loppupiste: 59,320N 11,055E
Suunta: 299,4°
Kallistuskulma: 21,5°
Tulonopeus: 73,0 km/s
Radiantin R,A,: 16:17 (244,5°)
Radiantin Dekl,: 4,2°
Meteoriparvi: Sporadinen
Meteoroidin rataelementit:
Perihelietäisyys: 0,978 AU
Eksentrisyys: 1,422
Inklinaatio: 138,7°
Nousevan solmun pituus: 336,9°
Perihelin argumentti: 191,6°
Keskianomalia: -2,1°
Epookki: 2023 FEB 26 01:31:27
orbit plot

Ei-interaktiivinen kuvaaja | Interaktiivinen kuvaaja

position vs time
speed and acceleration