🇳🇴 🇬🇧 🇩🇪 🇨🇿 🇫🇮

Meteor, poloha: Hirtshals 2023-02-26 04:04:51 UTC

Soubor KML  |  InteraktivnĂ­ mapa

Mapa zobrazuje dráhy meteoru. Světlejší čáry ukazují směry od pozorovacích stanic při objevení se meteoru a tmavší čáry, kde byl naposledy viděn. Modrá šipka značí viditelnou dráhu meteoru.

static map
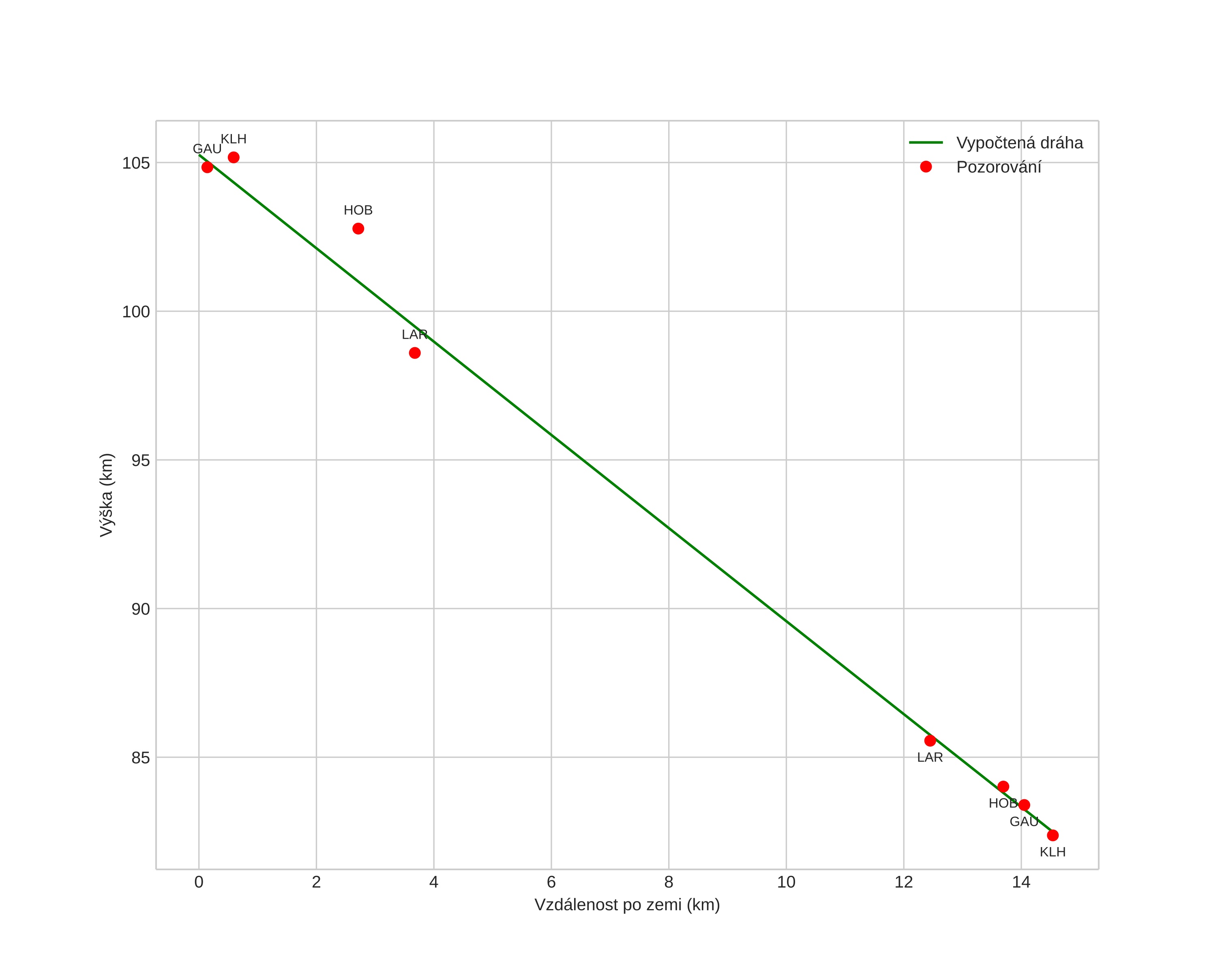
height profile
Atmosférická dráha meteoru:
Počáteční výška: 105,3 km
Konečná výška: 82,4 km
Počáteční poloha: 57,450N 10,066E
Konečná poloha: 57,520N 9,860E
Směr: 302,6°
Sklon: 57,5°
VstupnĂ­ rychlost: 51,1 km/s
Rektascenze radiantu: 17:18 (259,6°)
Deklinace radiantu: 33,4°
MeteorickĂ˝ roj: sporadickĂ˝
Elementy dráhy meteoroidu:
Vzdálenost v periheliu: 0,981 AU
Excentricita: 0,935
Sklon dráhy: 86,3°
Délka vzestupného uzlu: 337,0°
Argument perihelia: 168,8°
Střední anomálie: 0,1°
Epocha: 2023 FEB 26 04:04:51
orbit plot

NeinteraktivnĂ­ graf | InteraktivnĂ­ graf

position vs time
speed and acceleration