🇳🇴 🇬🇧 🇩🇪 🇨🇿 🇫🇮

Meteor Hirtshalsin yllä 2023-02-26 04:04:51 UTC

KML-tiedosto  |  Interaktiivinen kartta

Kartta näyttää meteorin suuntahavainnot. Vaaleammat viivat näyttävät suunnat havaintoasemilta meteorin ilmestyessä, ja tummemmat viivat näyttävät, missä se viimeksi nähtiin. Sininen nuoli näyttää meteorin näkyvän lennon.

static map
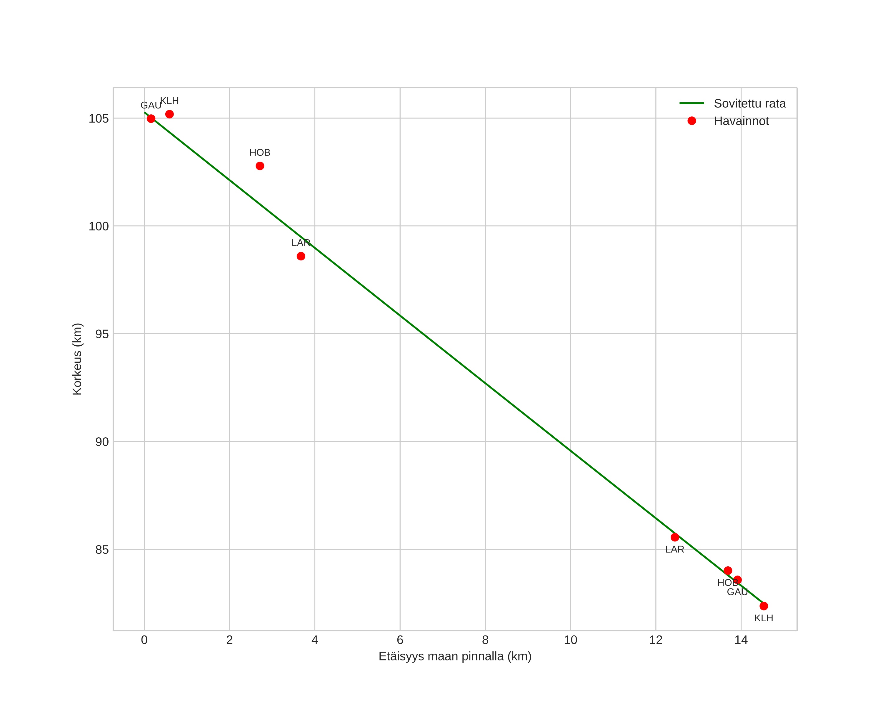
height profile
Meteorin ilmakehärata:
Alkukorkeus: 105,3 km
Loppukorkeus: 82,4 km
Alkupiste: 57,450N 10,066E
Loppupiste: 57,520N 9,860E
Suunta: 302,6°
Kallistuskulma: 57,5°
Tulonopeus: 51,1 km/s
Radiantin R,A,: 17:18 (259,6°)
Radiantin Dekl,: 33,4°
Meteoriparvi: Sporadinen
Meteoroidin rataelementit:
Perihelietäisyys: 0,981 AU
Eksentrisyys: 0,935
Inklinaatio: 86,3°
Nousevan solmun pituus: 337,0°
Perihelin argumentti: 168,8°
Keskianomalia: 0,1°
Epookki: 2023 FEB 26 04:04:51
orbit plot

Ei-interaktiivinen kuvaaja | Interaktiivinen kuvaaja

position vs time
speed and acceleration