🇳🇴 🇬🇧 🇩🇪 🇨🇿 🇫🇮

Meteor, poloha: Skoghall 2023-02-27 04:02:08 UTC

Soubor KML  |  InteraktivnĂ­ mapa

Mapa zobrazuje dráhy meteoru. Světlejší čáry ukazují směry od pozorovacích stanic při objevení se meteoru a tmavší čáry, kde byl naposledy viděn. Modrá šipka značí viditelnou dráhu meteoru.

static map
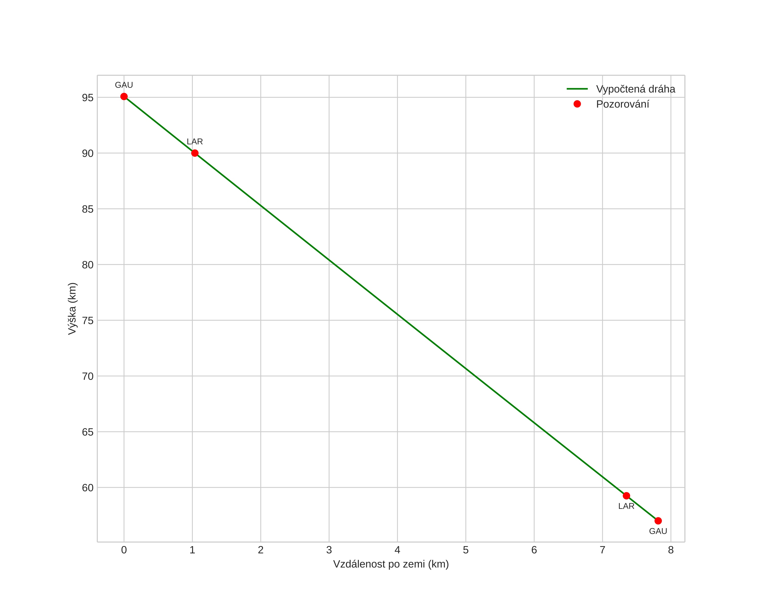
height profile
Atmosférická dráha meteoru:
Počáteční výška: 94,3 km
Konečná výška: 57,8 km
Počáteční poloha: 59,163N 13,673E
Konečná poloha: 59,180N 13,548E
Směr: 285,3°
Sklon: 78,6°
VstupnĂ­ rychlost: 33,6 km/s
Rektascenze radiantu: 16:38 (249,7°)
Deklinace radiantu: 54,4°
MeteorickĂ˝ roj: sporadickĂ˝
Elementy dráhy meteoroidu:
Vzdálenost v periheliu: 0,980 AU
Excentricita: 0,620
Sklon dráhy: 53,7°
Délka vzestupného uzlu: 338,0°
Argument perihelia: 193,5°
Střední anomálie: 357,5°
Epocha: 2023 FEB 27 04:02:08
orbit plot

NeinteraktivnĂ­ graf | InteraktivnĂ­ graf

position vs time
speed and acceleration