🇳🇴 🇬🇧 🇩🇪 🇨🇿 🇫🇮

Meteor Skoghallin yllä 2023-02-27 04:02:08 UTC

KML-tiedosto  |  Interaktiivinen kartta

Kartta näyttää meteorin suuntahavainnot. Vaaleammat viivat näyttävät suunnat havaintoasemilta meteorin ilmestyessä, ja tummemmat viivat näyttävät, missä se viimeksi nähtiin. Sininen nuoli näyttää meteorin näkyvän lennon.

static map
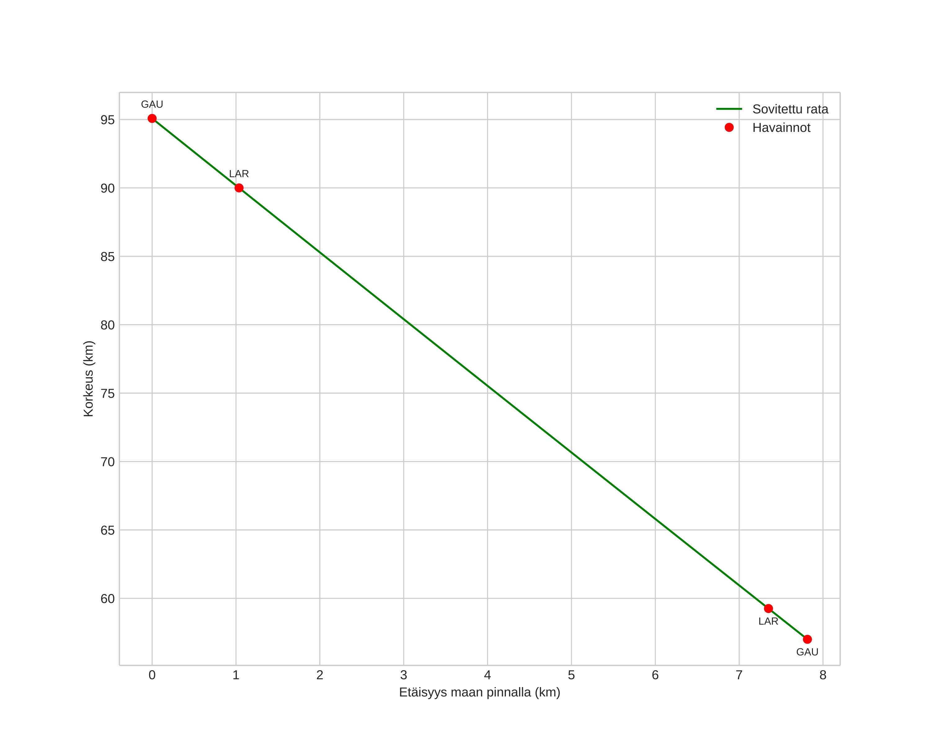
height profile
Meteorin ilmakehärata:
Alkukorkeus: 94,3 km
Loppukorkeus: 57,8 km
Alkupiste: 59,163N 13,673E
Loppupiste: 59,180N 13,548E
Suunta: 285,3°
Kallistuskulma: 78,6°
Tulonopeus: 33,6 km/s
Radiantin R,A,: 16:38 (249,7°)
Radiantin Dekl,: 54,4°
Meteoriparvi: Sporadinen
Meteoroidin rataelementit:
Perihelietäisyys: 0,980 AU
Eksentrisyys: 0,620
Inklinaatio: 53,7°
Nousevan solmun pituus: 338,0°
Perihelin argumentti: 193,5°
Keskianomalia: 357,5°
Epookki: 2023 FEB 27 04:02:08
orbit plot

Ei-interaktiivinen kuvaaja | Interaktiivinen kuvaaja

position vs time
speed and acceleration