🇳🇴 🇬🇧 🇩🇪 🇨🇿 🇫🇮

Meteor, poloha: Stora Höga 2023-02-28 02:30:14 UTC

Soubor KML  |  InteraktivnĂ­ mapa

Mapa zobrazuje dráhy meteoru. Světlejší čáry ukazují směry od pozorovacích stanic při objevení se meteoru a tmavší čáry, kde byl naposledy viděn. Modrá šipka značí viditelnou dráhu meteoru.

static map
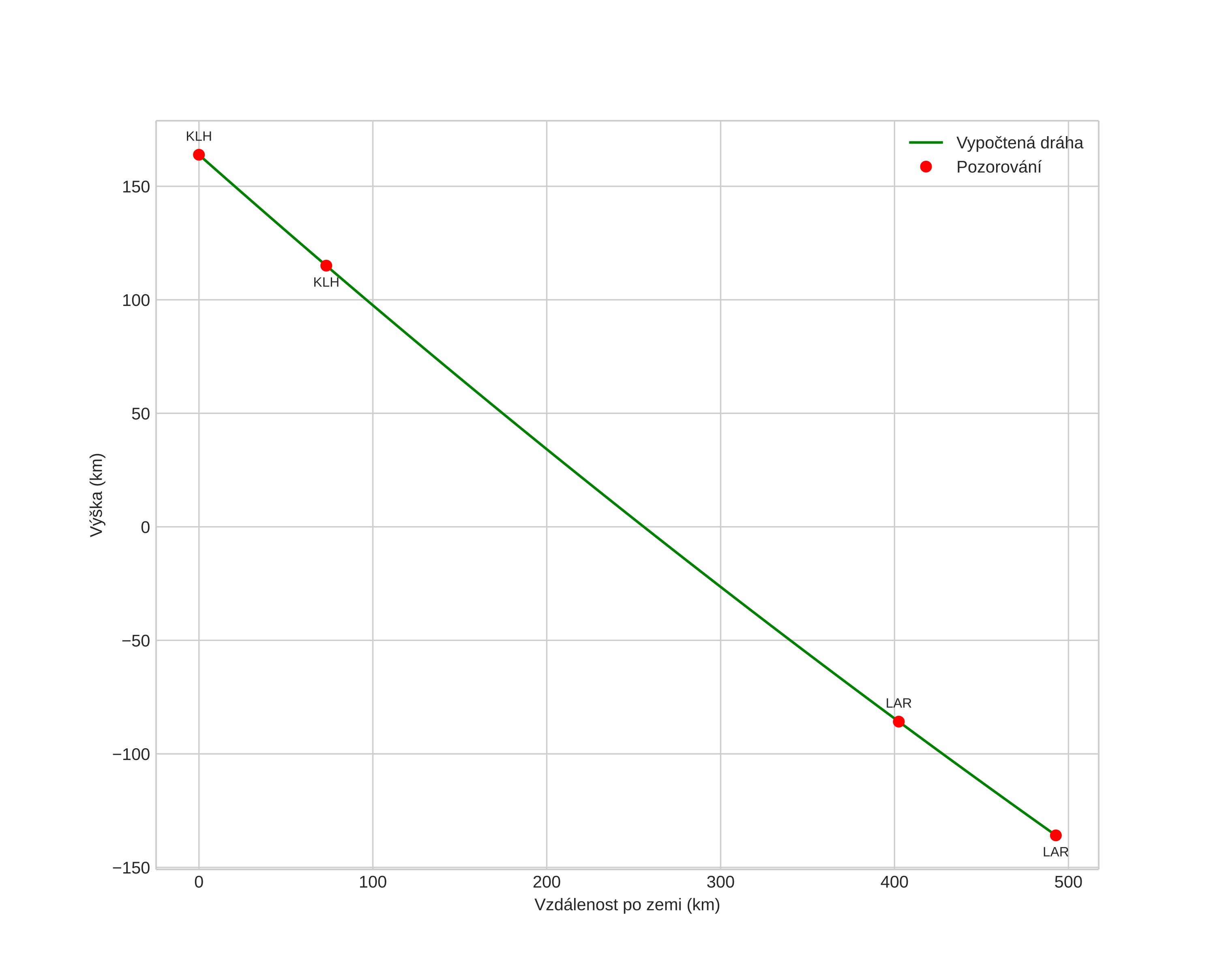
height profile
Atmosférická dráha meteoru:
Počáteční výška: 114,5 km
Konečná výška: 90,0 km
Počáteční poloha: 57,599N 12,288E
Konečná poloha: 58,016N 11,851E
Směr: 330,9°
Sklon: 24,8°
VstupnĂ­ rychlost: 54,6 km/s
Rektascenze radiantu: 15:33 (233,3°)
Deklinace radiantu: -4,8°
MeteorickĂ˝ roj: sporadickĂ˝
Elementy dráhy meteoroidu:
Vzdálenost v periheliu: 0,392 AU
Excentricita: 0,544
Sklon dráhy: 146,6°
Délka vzestupného uzlu: 338,9°
Argument perihelia: 315,7°
Střední anomálie: 283,6°
Epocha: 2023 FEB 28 02:30:14
orbit plot

NeinteraktivnĂ­ graf | InteraktivnĂ­ graf

position vs time
speed and acceleration