🇳🇴 🇬🇧 🇩🇪 🇨🇿 🇫🇮

Meteor Stora Högan yllä 2023-02-28 02:30:14 UTC

KML-tiedosto  |  Interaktiivinen kartta

Kartta näyttää meteorin suuntahavainnot. Vaaleammat viivat näyttävät suunnat havaintoasemilta meteorin ilmestyessä, ja tummemmat viivat näyttävät, missä se viimeksi nähtiin. Sininen nuoli näyttää meteorin näkyvän lennon.

static map
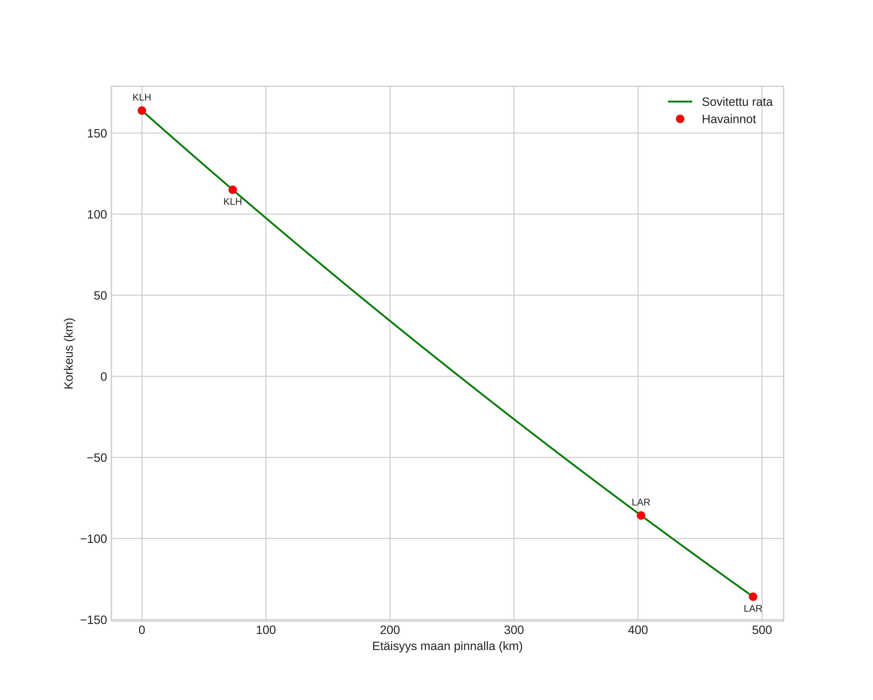
height profile
Meteorin ilmakehärata:
Alkukorkeus: 114,5 km
Loppukorkeus: 90,0 km
Alkupiste: 57,599N 12,288E
Loppupiste: 58,016N 11,851E
Suunta: 330,9°
Kallistuskulma: 24,8°
Tulonopeus: 54,6 km/s
Radiantin R,A,: 15:33 (233,3°)
Radiantin Dekl,: -4,8°
Meteoriparvi: Sporadinen
Meteoroidin rataelementit:
Perihelietäisyys: 0,392 AU
Eksentrisyys: 0,544
Inklinaatio: 146,6°
Nousevan solmun pituus: 338,9°
Perihelin argumentti: 315,7°
Keskianomalia: 283,6°
Epookki: 2023 FEB 28 02:30:14
orbit plot

Ei-interaktiivinen kuvaaja | Interaktiivinen kuvaaja

position vs time
speed and acceleration