🇳🇴 🇬🇧 🇩🇪 🇨🇿 🇫🇮

Meteor, poloha: Sandefjord 2023-02-28 21:03:20 UTC

Soubor KML  |  InteraktivnĂ­ mapa

Mapa zobrazuje dráhy meteoru. Světlejší čáry ukazují směry od pozorovacích stanic při objevení se meteoru a tmavší čáry, kde byl naposledy viděn. Modrá šipka značí viditelnou dráhu meteoru.

static map
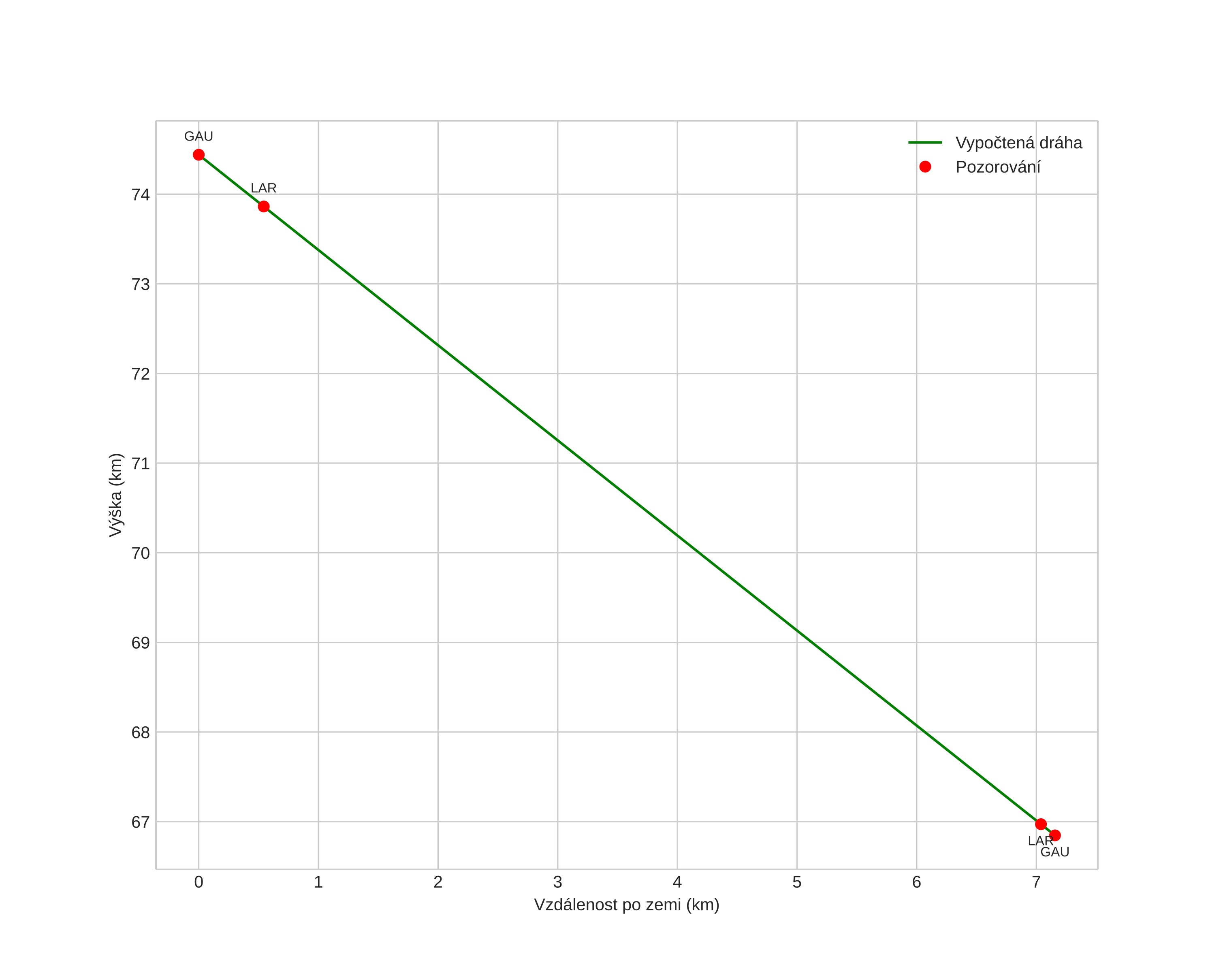
height profile
Atmosférická dráha meteoru:
Počáteční výška: 75,3 km
Konečná výška: 66,8 km
Počáteční poloha: 59,093N 10,108E
Konečná poloha: 59,156N 10,153E
Směr: 20,1°
Sklon: 48,6°
VstupnĂ­ rychlost: 13,8 km/s
Rektascenze radiantu: 07:07 (106,9°)
Deklinace radiantu: 8,1°
MeteorickĂ˝ roj: sporadickĂ˝
Elementy dráhy meteoroidu:
Vzdálenost v periheliu: 0,969 AU
Excentricita: 0,519
Sklon dráhy: 3,2°
Délka vzestupného uzlu: 159,7°
Argument perihelia: 20,6°
Střední anomálie: 354,3°
Epocha: 2023 FEB 28 21:03:20
orbit plot

NeinteraktivnĂ­ graf | InteraktivnĂ­ graf

position vs time
speed and acceleration