🇳🇴 🇬🇧 🇩🇪 🇨🇿 🇫🇮

Meteor Sandefjordin yllä 2023-02-28 21:03:20 UTC

KML-tiedosto  |  Interaktiivinen kartta

Kartta näyttää meteorin suuntahavainnot. Vaaleammat viivat näyttävät suunnat havaintoasemilta meteorin ilmestyessä, ja tummemmat viivat näyttävät, missä se viimeksi nähtiin. Sininen nuoli näyttää meteorin näkyvän lennon.

static map
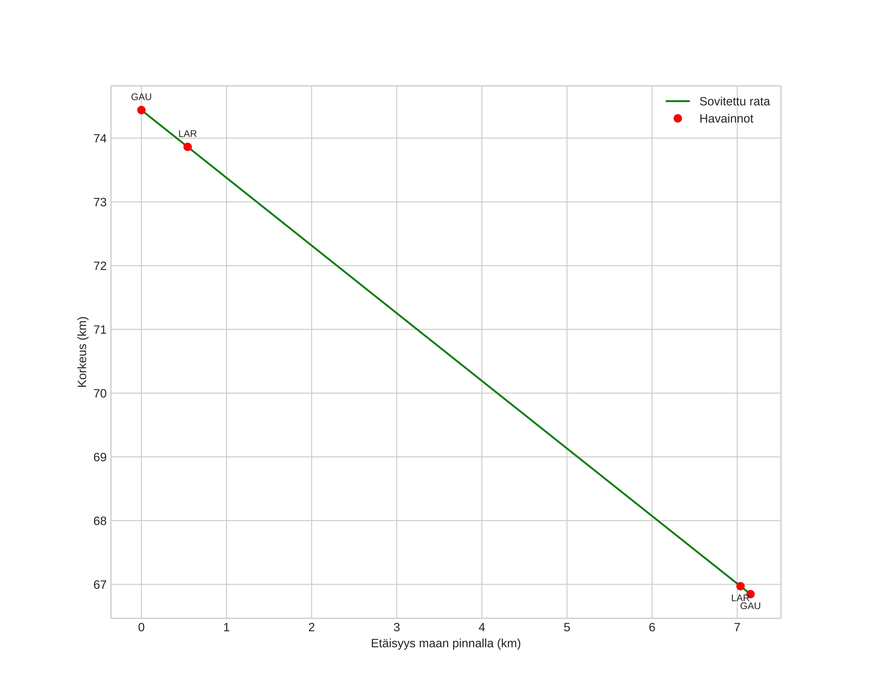
height profile
Meteorin ilmakehärata:
Alkukorkeus: 75,3 km
Loppukorkeus: 66,8 km
Alkupiste: 59,093N 10,108E
Loppupiste: 59,156N 10,153E
Suunta: 20,1°
Kallistuskulma: 48,6°
Tulonopeus: 13,8 km/s
Radiantin R,A,: 07:07 (106,9°)
Radiantin Dekl,: 8,1°
Meteoriparvi: Sporadinen
Meteoroidin rataelementit:
Perihelietäisyys: 0,969 AU
Eksentrisyys: 0,519
Inklinaatio: 3,2°
Nousevan solmun pituus: 159,7°
Perihelin argumentti: 20,6°
Keskianomalia: 354,3°
Epookki: 2023 FEB 28 21:03:20
orbit plot

Ei-interaktiivinen kuvaaja | Interaktiivinen kuvaaja

position vs time
speed and acceleration