🇳🇴 🇬🇧 🇩🇪 🇨🇿 🇫🇮

Meteor, poloha: Sæby 2023-03-02 03:31:42 UTC

Soubor KML  |  InteraktivnĂ­ mapa

Mapa zobrazuje dráhy meteoru. Světlejší čáry ukazují směry od pozorovacích stanic při objevení se meteoru a tmavší čáry, kde byl naposledy viděn. Modrá šipka značí viditelnou dráhu meteoru.

static map
height profile
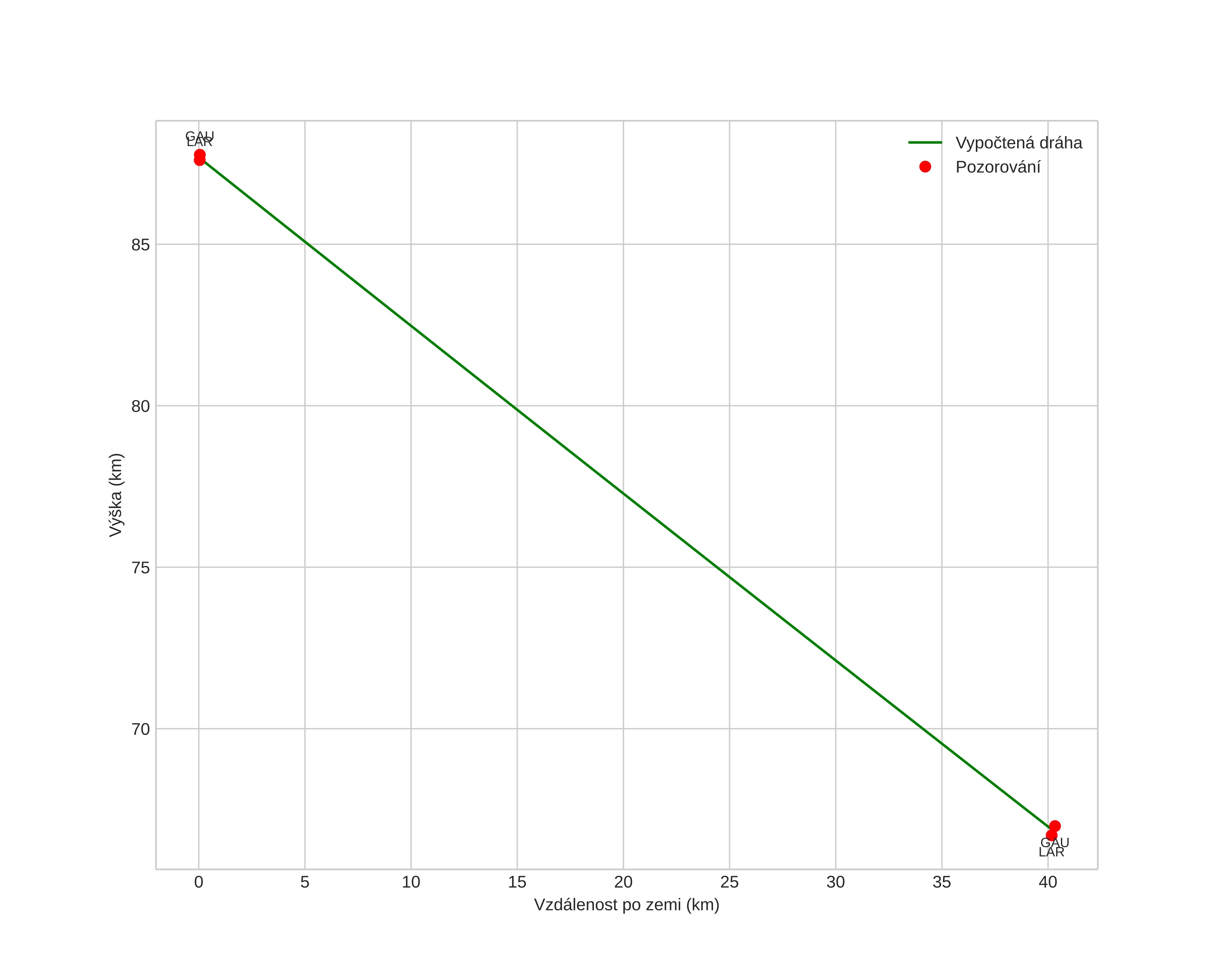
Atmosférická dráha meteoru:
Počáteční výška: 90,2 km
Konečná výška: 66,7 km
Počáteční poloha: 56,910N 10,126E
Konečná poloha: 57,280N 10,472E
Směr: 26,7°
Sklon: 27,0°
VstupnĂ­ rychlost: 57,8 km/s
Rektascenze radiantu: 13:13 (198,3°)
Deklinace radiantu: -3,6°
MeteorickĂ˝ roj: sporadickĂ˝
Elementy dráhy meteoroidu:
Vzdálenost v periheliu: 0,018 AU
Excentricita: 1,005
Sklon dráhy: 139,0°
Délka vzestupného uzlu: 341,0°
Argument perihelia: 343,4°
Střední anomálie: -3,8°
Epocha: 2023 MAR 02 03:31:42
orbit plot

NeinteraktivnĂ­ graf | InteraktivnĂ­ graf

position vs time
speed and acceleration