🇳🇴 🇬🇧 🇩🇪 🇨🇿 🇫🇮

Meteor Sæbyn yllä 2023-03-02 03:31:42 UTC

KML-tiedosto  |  Interaktiivinen kartta

Kartta näyttää meteorin suuntahavainnot. Vaaleammat viivat näyttävät suunnat havaintoasemilta meteorin ilmestyessä, ja tummemmat viivat näyttävät, missä se viimeksi nähtiin. Sininen nuoli näyttää meteorin näkyvän lennon.

static map
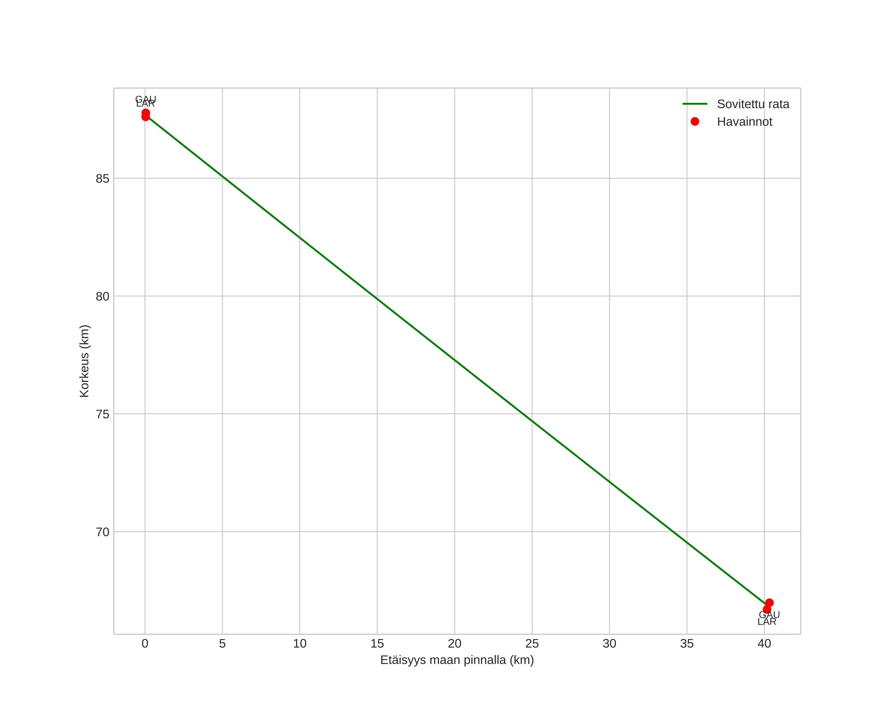
height profile
Meteorin ilmakehärata:
Alkukorkeus: 90,2 km
Loppukorkeus: 66,7 km
Alkupiste: 56,910N 10,126E
Loppupiste: 57,280N 10,472E
Suunta: 26,7°
Kallistuskulma: 27,0°
Tulonopeus: 57,8 km/s
Radiantin R,A,: 13:13 (198,3°)
Radiantin Dekl,: -3,6°
Meteoriparvi: Sporadinen
Meteoroidin rataelementit:
Perihelietäisyys: 0,018 AU
Eksentrisyys: 1,005
Inklinaatio: 139,0°
Nousevan solmun pituus: 341,0°
Perihelin argumentti: 343,4°
Keskianomalia: -3,8°
Epookki: 2023 MAR 02 03:31:42
orbit plot

Ei-interaktiivinen kuvaaja | Interaktiivinen kuvaaja

position vs time
speed and acceleration