🇳🇴 🇬🇧 🇩🇪 🇨🇿 🇫🇮

Meteor, poloha: Tjøme 2023-03-02 22:05:51 UTC

Soubor KML  |  InteraktivnĂ­ mapa

Mapa zobrazuje dráhy meteoru. Světlejší čáry ukazují směry od pozorovacích stanic při objevení se meteoru a tmavší čáry, kde byl naposledy viděn. Modrá šipka značí viditelnou dráhu meteoru.

static map
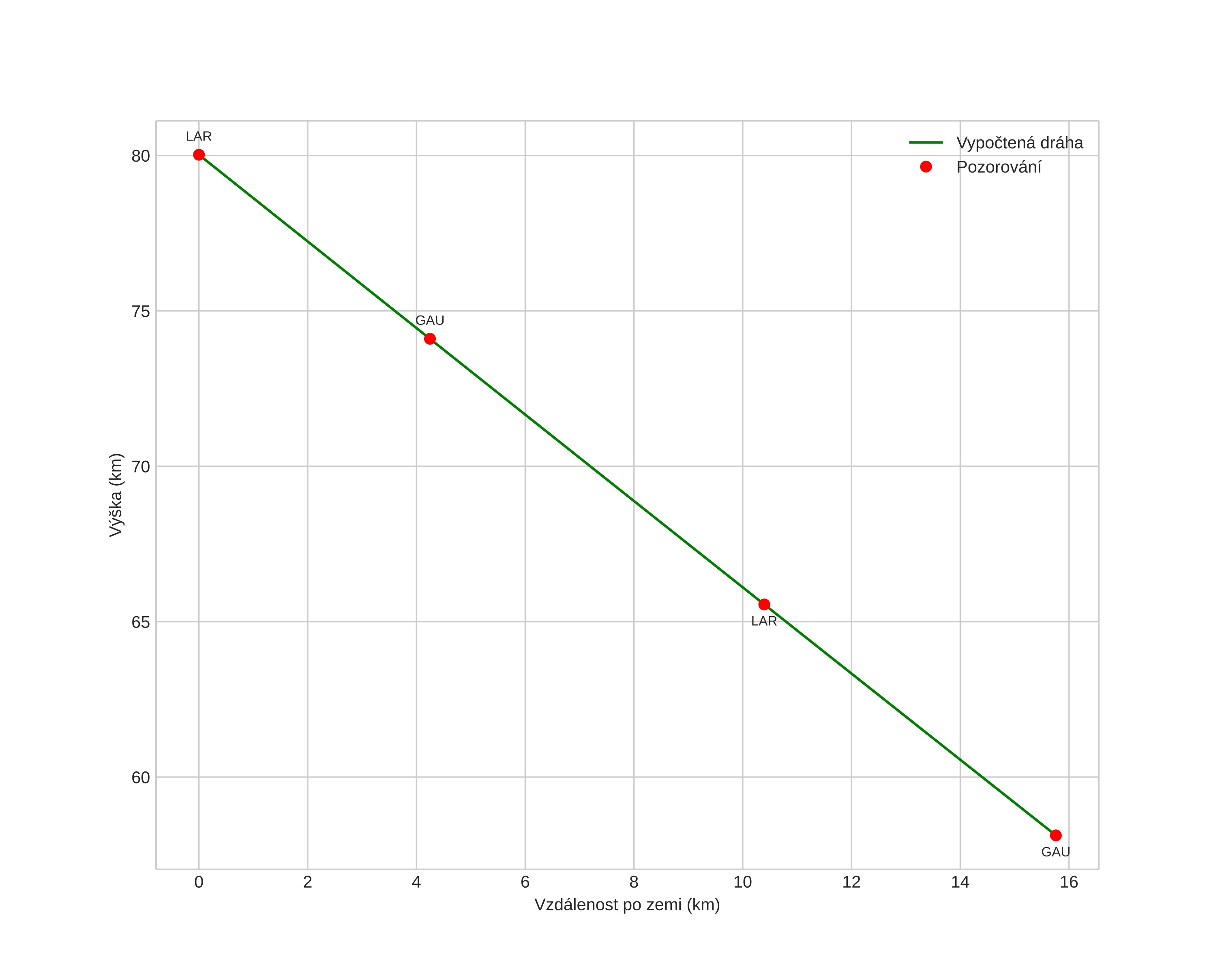
height profile
Atmosférická dráha meteoru:
Počáteční výška: 79,8 km
Konečná výška: 58,1 km
Počáteční poloha: 58,383N 10,187E
Konečná poloha: 58,459N 10,414E
Směr: 57,4°
Sklon: 54,1°
VstupnĂ­ rychlost: 17,0 km/s
Rektascenze radiantu: 06:50 (102,5°)
Deklinace radiantu: 26,9°
MeteorickĂ˝ roj: sporadickĂ˝
Elementy dráhy meteoroidu:
Vzdálenost v periheliu: 0,970 AU
Excentricita: 0,957
Sklon dráhy: 1,2°
Délka vzestupného uzlu: 341,7°
Argument perihelia: 196,9°
Střední anomálie: 359,9°
Epocha: 2023 MAR 02 22:05:51
orbit plot

NeinteraktivnĂ­ graf | InteraktivnĂ­ graf

position vs time
speed and acceleration