🇳🇴 🇬🇧 🇩🇪 🇨🇿 🇫🇮

Meteor Tjømen yllä 2023-03-02 22:05:51 UTC

KML-tiedosto  |  Interaktiivinen kartta

Kartta näyttää meteorin suuntahavainnot. Vaaleammat viivat näyttävät suunnat havaintoasemilta meteorin ilmestyessä, ja tummemmat viivat näyttävät, missä se viimeksi nähtiin. Sininen nuoli näyttää meteorin näkyvän lennon.

static map
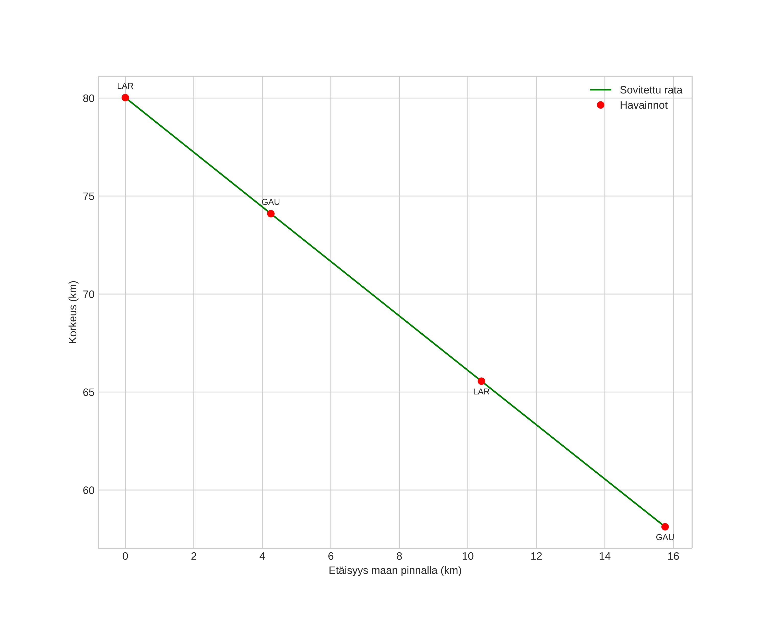
height profile
Meteorin ilmakehärata:
Alkukorkeus: 79,8 km
Loppukorkeus: 58,1 km
Alkupiste: 58,383N 10,187E
Loppupiste: 58,459N 10,414E
Suunta: 57,4°
Kallistuskulma: 54,1°
Tulonopeus: 17,0 km/s
Radiantin R,A,: 06:50 (102,5°)
Radiantin Dekl,: 26,9°
Meteoriparvi: Sporadinen
Meteoroidin rataelementit:
Perihelietäisyys: 0,970 AU
Eksentrisyys: 0,957
Inklinaatio: 1,2°
Nousevan solmun pituus: 341,7°
Perihelin argumentti: 196,9°
Keskianomalia: 359,9°
Epookki: 2023 MAR 02 22:05:51
orbit plot

Ei-interaktiivinen kuvaaja | Interaktiivinen kuvaaja

position vs time
speed and acceleration