🇳🇴 🇬🇧 🇩🇪 🇨🇿 🇫🇮

Meteor, poloha: Uddevalla 2023-03-03 20:42:51 UTC

Soubor KML  |  InteraktivnĂ­ mapa

Mapa zobrazuje dráhy meteoru. Světlejší čáry ukazují směry od pozorovacích stanic při objevení se meteoru a tmavší čáry, kde byl naposledy viděn. Modrá šipka značí viditelnou dráhu meteoru.

static map
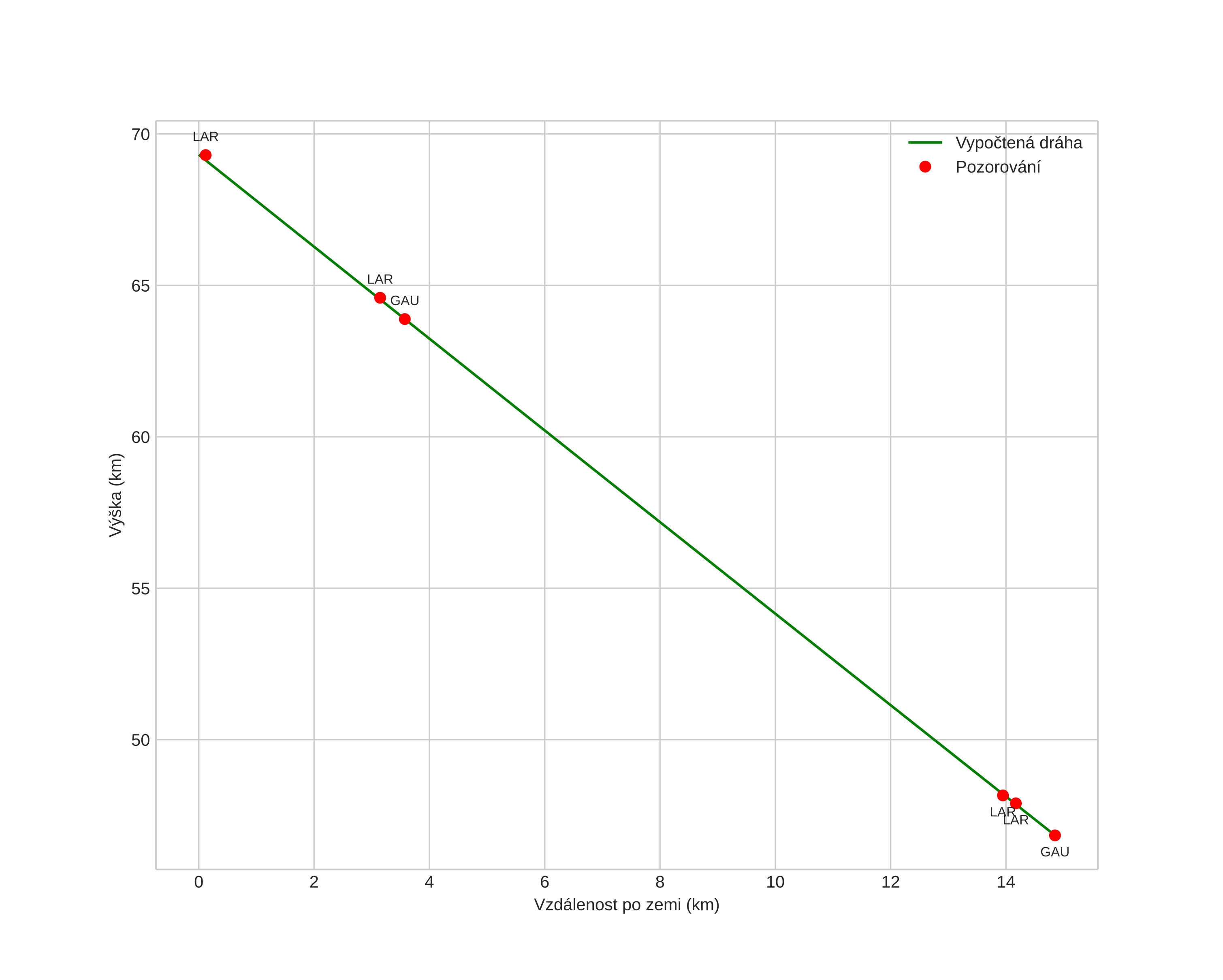
height profile
Atmosférická dráha meteoru:
Počáteční výška: 69,3 km
Konečná výška: 48,0 km
Počáteční poloha: 58,456N 11,865E
Konečná poloha: 58,363N 12,036E
Směr: 136,1°
Sklon: 56,0°
VstupnĂ­ rychlost: 12,7 km/s
Rektascenze radiantu: 01:41 (25,3°)
Deklinace radiantu: 58,4°
MeteorickĂ˝ roj: sporadickĂ˝
Elementy dráhy meteoroidu:
Vzdálenost v periheliu: 0,983 AU
Excentricita: 0,343
Sklon dráhy: 7,3°
Délka vzestupného uzlu: 342,7°
Argument perihelia: 165,2°
Střední anomálie: 6,8°
Epocha: 2023 MAR 03 20:42:51
orbit plot

NeinteraktivnĂ­ graf | InteraktivnĂ­ graf

position vs time
speed and acceleration