🇳🇴 🇬🇧 🇩🇪 🇨🇿 🇫🇮

Meteor Uddevallan yllä 2023-03-03 20:42:51 UTC

KML-tiedosto  |  Interaktiivinen kartta

Kartta näyttää meteorin suuntahavainnot. Vaaleammat viivat näyttävät suunnat havaintoasemilta meteorin ilmestyessä, ja tummemmat viivat näyttävät, missä se viimeksi nähtiin. Sininen nuoli näyttää meteorin näkyvän lennon.

static map
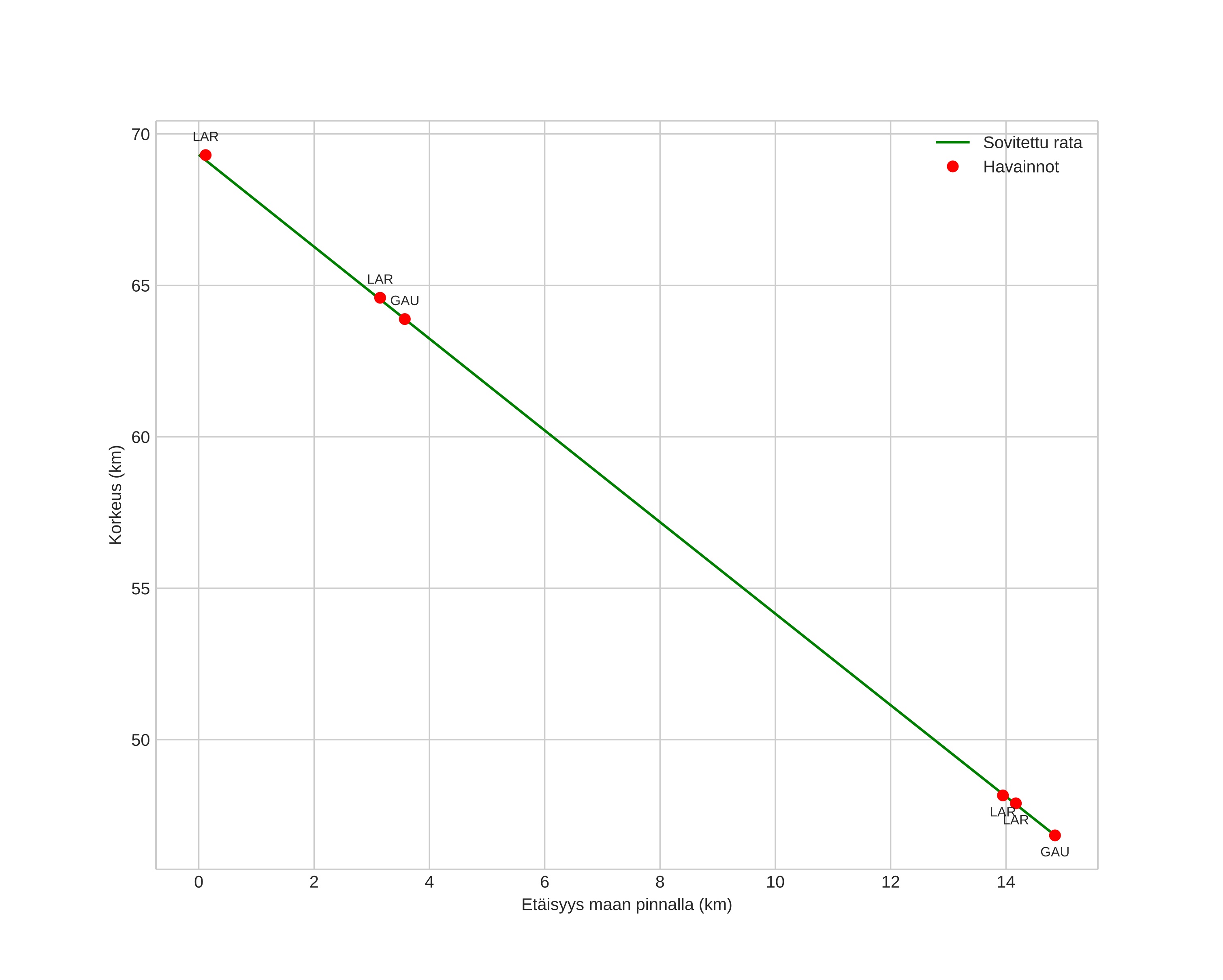
height profile
Meteorin ilmakehärata:
Alkukorkeus: 69,3 km
Loppukorkeus: 48,0 km
Alkupiste: 58,456N 11,865E
Loppupiste: 58,363N 12,036E
Suunta: 136,1°
Kallistuskulma: 56,0°
Tulonopeus: 12,7 km/s
Radiantin R,A,: 01:41 (25,3°)
Radiantin Dekl,: 58,4°
Meteoriparvi: Sporadinen
Meteoroidin rataelementit:
Perihelietäisyys: 0,983 AU
Eksentrisyys: 0,343
Inklinaatio: 7,3°
Nousevan solmun pituus: 342,7°
Perihelin argumentti: 165,2°
Keskianomalia: 6,8°
Epookki: 2023 MAR 03 20:42:51
orbit plot

Ei-interaktiivinen kuvaaja | Interaktiivinen kuvaaja

position vs time
speed and acceleration