🇳🇴 🇬🇧 🇩🇪 🇨🇿 🇫🇮

Meteor, poloha: Lillesand 2023-03-04 04:43:31 UTC

Soubor KML  |  InteraktivnĂ­ mapa

Mapa zobrazuje dráhy meteoru. Světlejší čáry ukazují směry od pozorovacích stanic při objevení se meteoru a tmavší čáry, kde byl naposledy viděn. Modrá šipka značí viditelnou dráhu meteoru.

static map
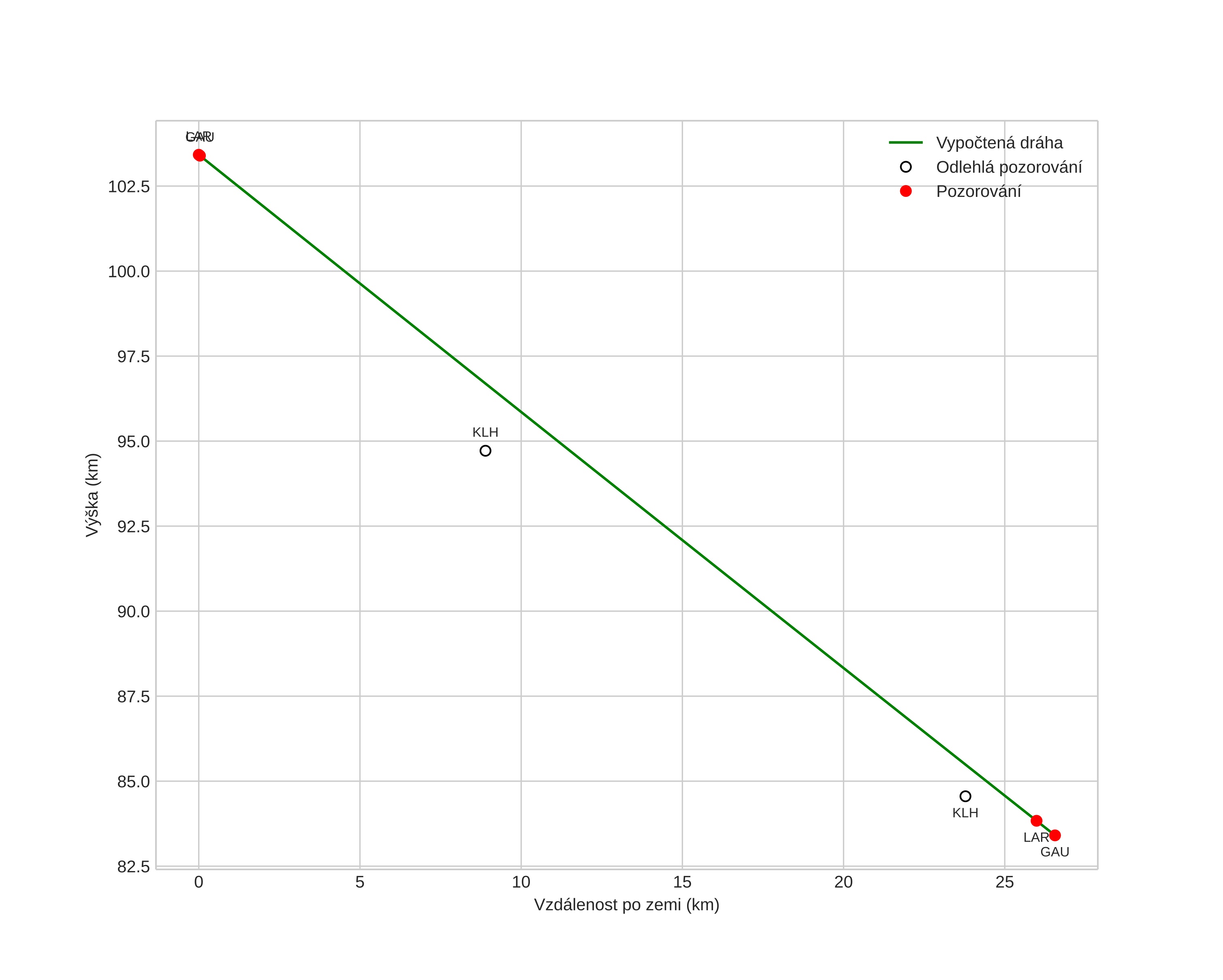
height profile
Atmosférická dráha meteoru:
Počáteční výška: 103,4 km
Konečná výška: 82,9 km
Počáteční poloha: 57,995N 8,171E
Konečná poloha: 58,225N 8,325E
Směr: 19,4°
Sklon: 37,0°
VstupnĂ­ rychlost: 62,3 km/s
Rektascenze radiantu: 14:58 (224,6°)
Deklinace radiantu: 6,0°
MeteorickĂ˝ roj: sporadickĂ˝
Elementy dráhy meteoroidu:
Vzdálenost v periheliu: 0,470 AU
Excentricita: 0,988
Sklon dráhy: 127,9°
Délka vzestupného uzlu: 343,0°
Argument perihelia: 273,3°
Střední anomálie: 359,8°
Epocha: 2023 MAR 04 04:43:31
orbit plot

NeinteraktivnĂ­ graf | InteraktivnĂ­ graf

position vs time
speed and acceleration