🇳🇴 🇬🇧 🇩🇪 🇨🇿 🇫🇮

Meteor Lillesandin yllä 2023-03-04 04:43:31 UTC

KML-tiedosto  |  Interaktiivinen kartta

Kartta näyttää meteorin suuntahavainnot. Vaaleammat viivat näyttävät suunnat havaintoasemilta meteorin ilmestyessä, ja tummemmat viivat näyttävät, missä se viimeksi nähtiin. Sininen nuoli näyttää meteorin näkyvän lennon.

static map
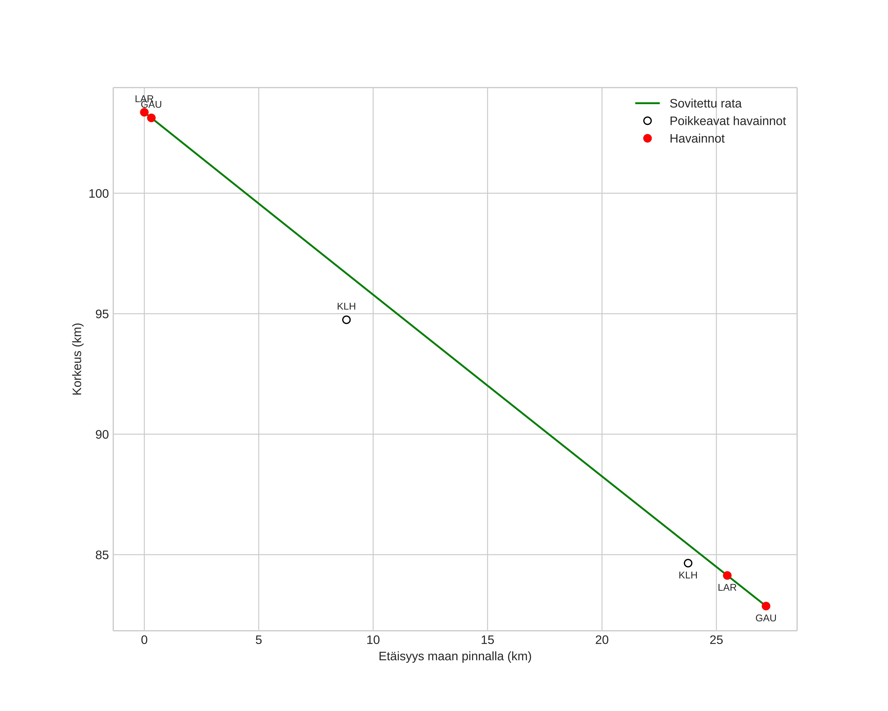
height profile
Meteorin ilmakehärata:
Alkukorkeus: 103,4 km
Loppukorkeus: 82,9 km
Alkupiste: 57,995N 8,171E
Loppupiste: 58,225N 8,325E
Suunta: 19,4°
Kallistuskulma: 37,0°
Tulonopeus: 62,3 km/s
Radiantin R,A,: 14:58 (224,6°)
Radiantin Dekl,: 6,0°
Meteoriparvi: Sporadinen
Meteoroidin rataelementit:
Perihelietäisyys: 0,470 AU
Eksentrisyys: 0,988
Inklinaatio: 127,9°
Nousevan solmun pituus: 343,0°
Perihelin argumentti: 273,3°
Keskianomalia: 359,8°
Epookki: 2023 MAR 04 04:43:31
orbit plot

Ei-interaktiivinen kuvaaja | Interaktiivinen kuvaaja

position vs time
speed and acceleration