🇳🇴 🇬🇧 🇩🇪 🇨🇿 🇫🇮

Meteor, poloha: Engerdal 2023-03-04 19:29:28 UTC

Soubor KML  |  InteraktivnĂ­ mapa

Mapa zobrazuje dráhy meteoru. Světlejší čáry ukazují směry od pozorovacích stanic při objevení se meteoru a tmavší čáry, kde byl naposledy viděn. Modrá šipka značí viditelnou dráhu meteoru.

static map
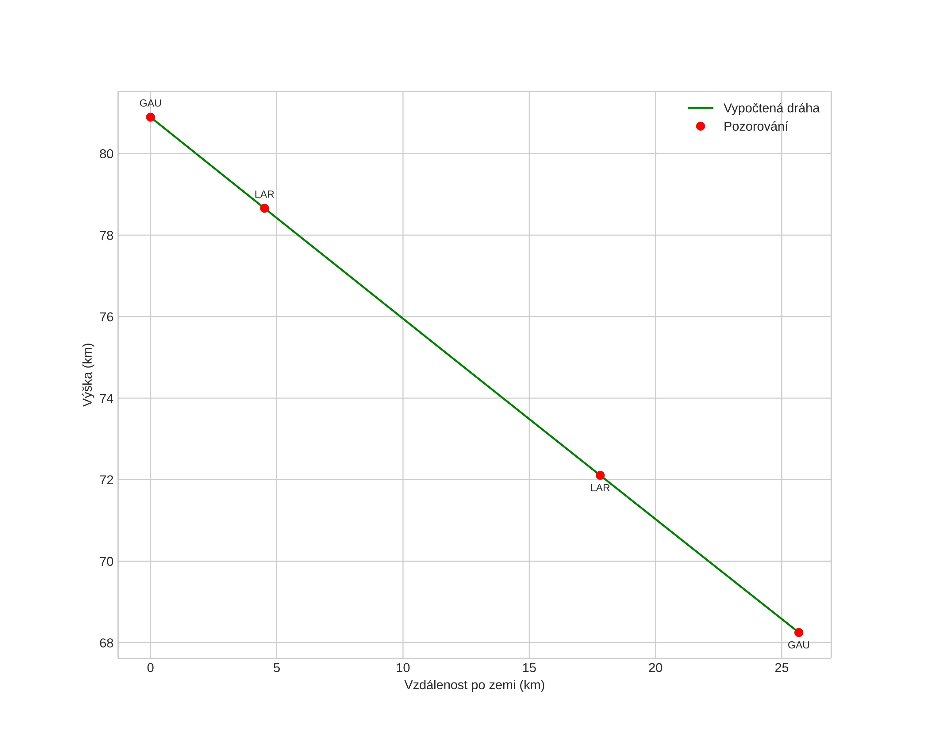
height profile
Atmosférická dráha meteoru:
Počáteční výška: 80,2 km
Konečná výška: 63,7 km
Počáteční poloha: 61,857N 12,239E
Konečná poloha: 61,892N 11,691E
Směr: 278,0°
Sklon: 29,6°
VstupnĂ­ rychlost: 26,4 km/s
Rektascenze radiantu: 11:45 (176,5°)
Deklinace radiantu: 19,7°
MeteorickĂ˝ roj: sporadickĂ˝
Elementy dráhy meteoroidu:
Vzdálenost v periheliu: 0,535 AU
Excentricita: 0,720
Sklon dráhy: 13,7°
Délka vzestupného uzlu: 343,6°
Argument perihelia: 275,8°
Střední anomálie: 342,6°
Epocha: 2023 MAR 04 19:29:28
orbit plot

NeinteraktivnĂ­ graf | InteraktivnĂ­ graf

position vs time
speed and acceleration