🇳🇴 🇬🇧 🇩🇪 🇨🇿 🇫🇮

Meteor Engerdalin yllä 2023-03-04 19:29:28 UTC

KML-tiedosto  |  Interaktiivinen kartta

Kartta näyttää meteorin suuntahavainnot. Vaaleammat viivat näyttävät suunnat havaintoasemilta meteorin ilmestyessä, ja tummemmat viivat näyttävät, missä se viimeksi nähtiin. Sininen nuoli näyttää meteorin näkyvän lennon.

static map
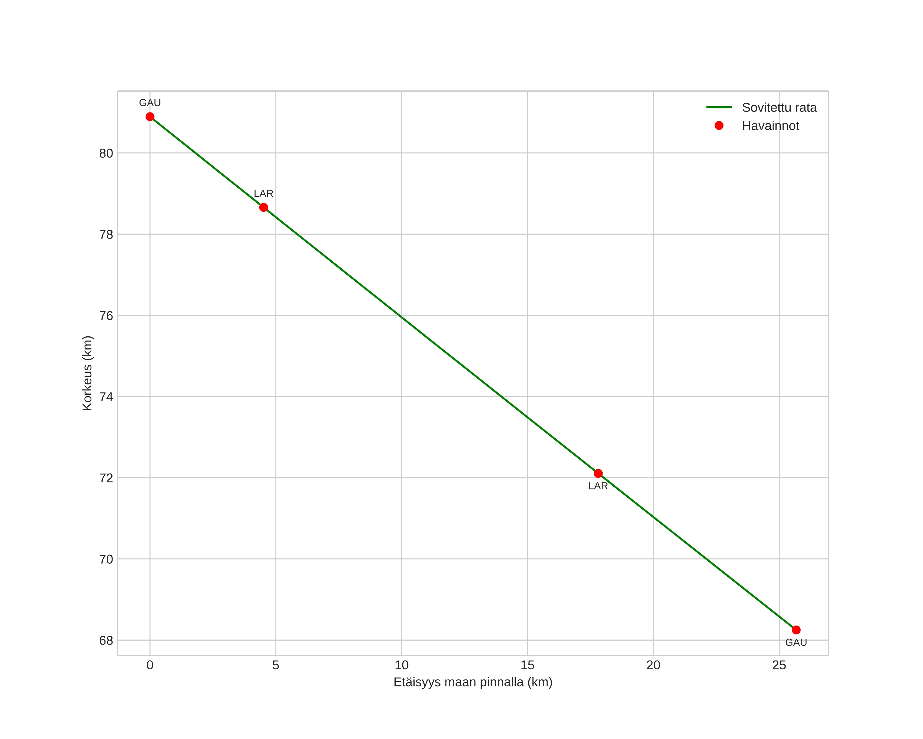
height profile
Meteorin ilmakehärata:
Alkukorkeus: 80,2 km
Loppukorkeus: 63,7 km
Alkupiste: 61,857N 12,239E
Loppupiste: 61,892N 11,691E
Suunta: 278,0°
Kallistuskulma: 29,6°
Tulonopeus: 26,4 km/s
Radiantin R,A,: 11:45 (176,5°)
Radiantin Dekl,: 19,7°
Meteoriparvi: Sporadinen
Meteoroidin rataelementit:
Perihelietäisyys: 0,535 AU
Eksentrisyys: 0,720
Inklinaatio: 13,7°
Nousevan solmun pituus: 343,6°
Perihelin argumentti: 275,8°
Keskianomalia: 342,6°
Epookki: 2023 MAR 04 19:29:28
orbit plot

Ei-interaktiivinen kuvaaja | Interaktiivinen kuvaaja

position vs time
speed and acceleration