🇳🇴 🇬🇧 🇩🇪 🇨🇿 🇫🇮

Meteor, poloha: Kragerø 2023-03-05 03:03:16 UTC

Soubor KML  |  InteraktivnĂ­ mapa

Mapa zobrazuje dráhy meteoru. Světlejší čáry ukazují směry od pozorovacích stanic při objevení se meteoru a tmavší čáry, kde byl naposledy viděn. Modrá šipka značí viditelnou dráhu meteoru.

static map
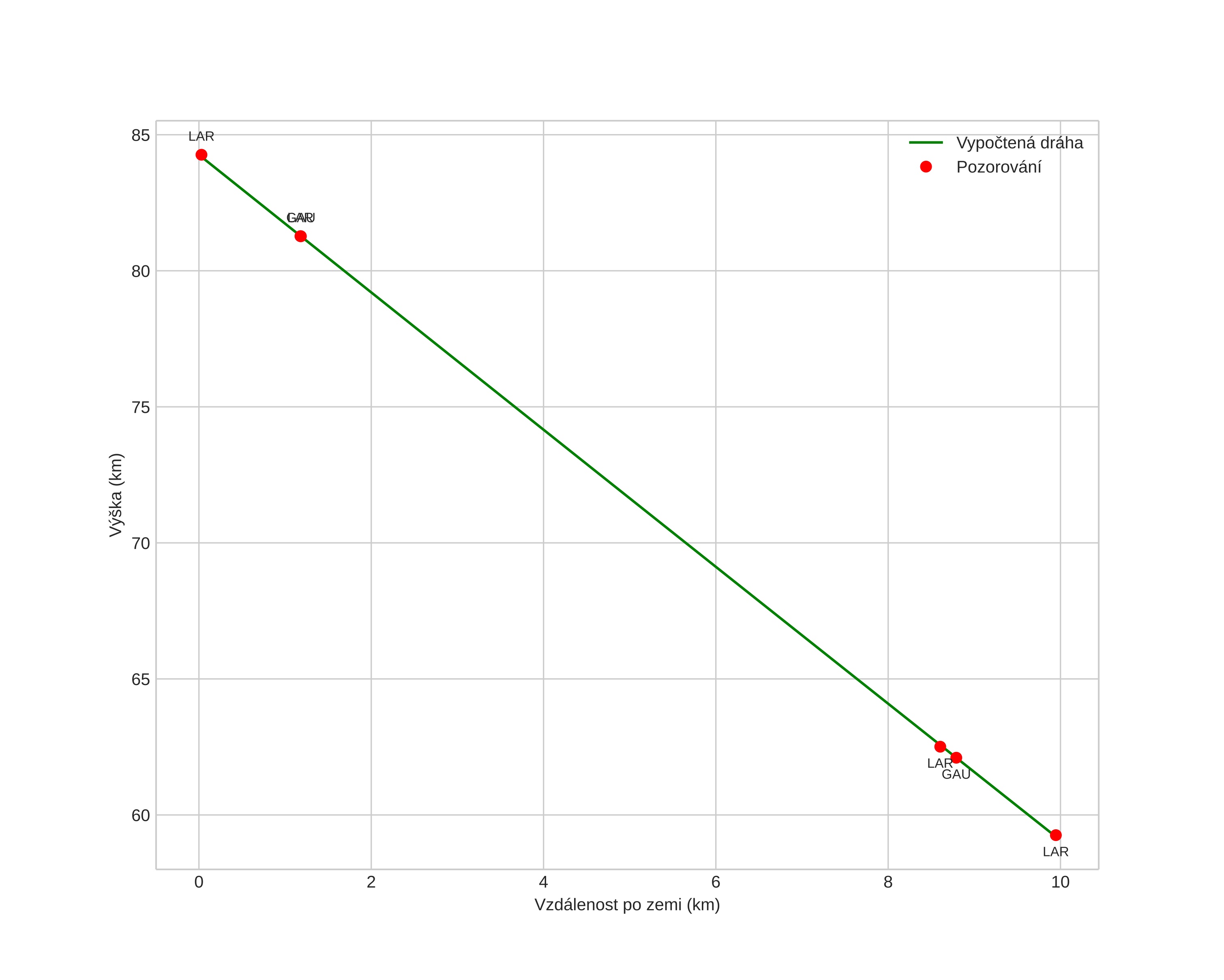
height profile
Atmosférická dráha meteoru:
Počáteční výška: 84,3 km
Konečná výška: 59,2 km
Počáteční poloha: 58,480N 9,856E
Konečná poloha: 58,402N 9,774E
Směr: 209,0°
Sklon: 68,5°
VstupnĂ­ rychlost: 18,0 km/s
Rektascenze radiantu: 17:38 (264,7°)
Deklinace radiantu: 75,3°
MeteorickĂ˝ roj: sporadickĂ˝
Elementy dráhy meteoroidu:
Vzdálenost v periheliu: 0,991 AU
Excentricita: 0,362
Sklon dráhy: 23,5°
Délka vzestupného uzlu: 344,0°
Argument perihelia: 183,0°
Střední anomálie: 358,7°
Epocha: 2023 MAR 05 03:03:16
orbit plot

NeinteraktivnĂ­ graf | InteraktivnĂ­ graf

position vs time
speed and acceleration