🇳🇴 🇬🇧 🇩🇪 🇨🇿 🇫🇮

Meteor Kragerøin yllä 2023-03-05 03:03:16 UTC

KML-tiedosto  |  Interaktiivinen kartta

Kartta näyttää meteorin suuntahavainnot. Vaaleammat viivat näyttävät suunnat havaintoasemilta meteorin ilmestyessä, ja tummemmat viivat näyttävät, missä se viimeksi nähtiin. Sininen nuoli näyttää meteorin näkyvän lennon.

static map
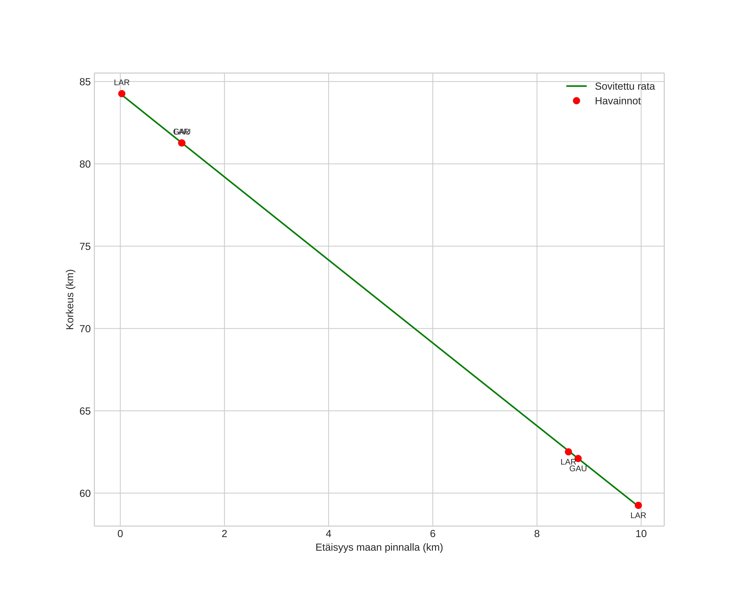
height profile
Meteorin ilmakehärata:
Alkukorkeus: 84,3 km
Loppukorkeus: 59,2 km
Alkupiste: 58,480N 9,856E
Loppupiste: 58,402N 9,774E
Suunta: 209,0°
Kallistuskulma: 68,5°
Tulonopeus: 18,0 km/s
Radiantin R,A,: 17:38 (264,7°)
Radiantin Dekl,: 75,3°
Meteoriparvi: Sporadinen
Meteoroidin rataelementit:
Perihelietäisyys: 0,991 AU
Eksentrisyys: 0,362
Inklinaatio: 23,5°
Nousevan solmun pituus: 344,0°
Perihelin argumentti: 183,0°
Keskianomalia: 358,7°
Epookki: 2023 MAR 05 03:03:16
orbit plot

Ei-interaktiivinen kuvaaja | Interaktiivinen kuvaaja

position vs time
speed and acceleration