🇳🇴 🇬🇧 🇩🇪 🇨🇿 🇫🇮

Meteor, poloha: Hirtshals 2023-03-05 04:13:38 UTC

Soubor KML  |  InteraktivnĂ­ mapa

Mapa zobrazuje dráhy meteoru. Světlejší čáry ukazují směry od pozorovacích stanic při objevení se meteoru a tmavší čáry, kde byl naposledy viděn. Modrá šipka značí viditelnou dráhu meteoru.

static map
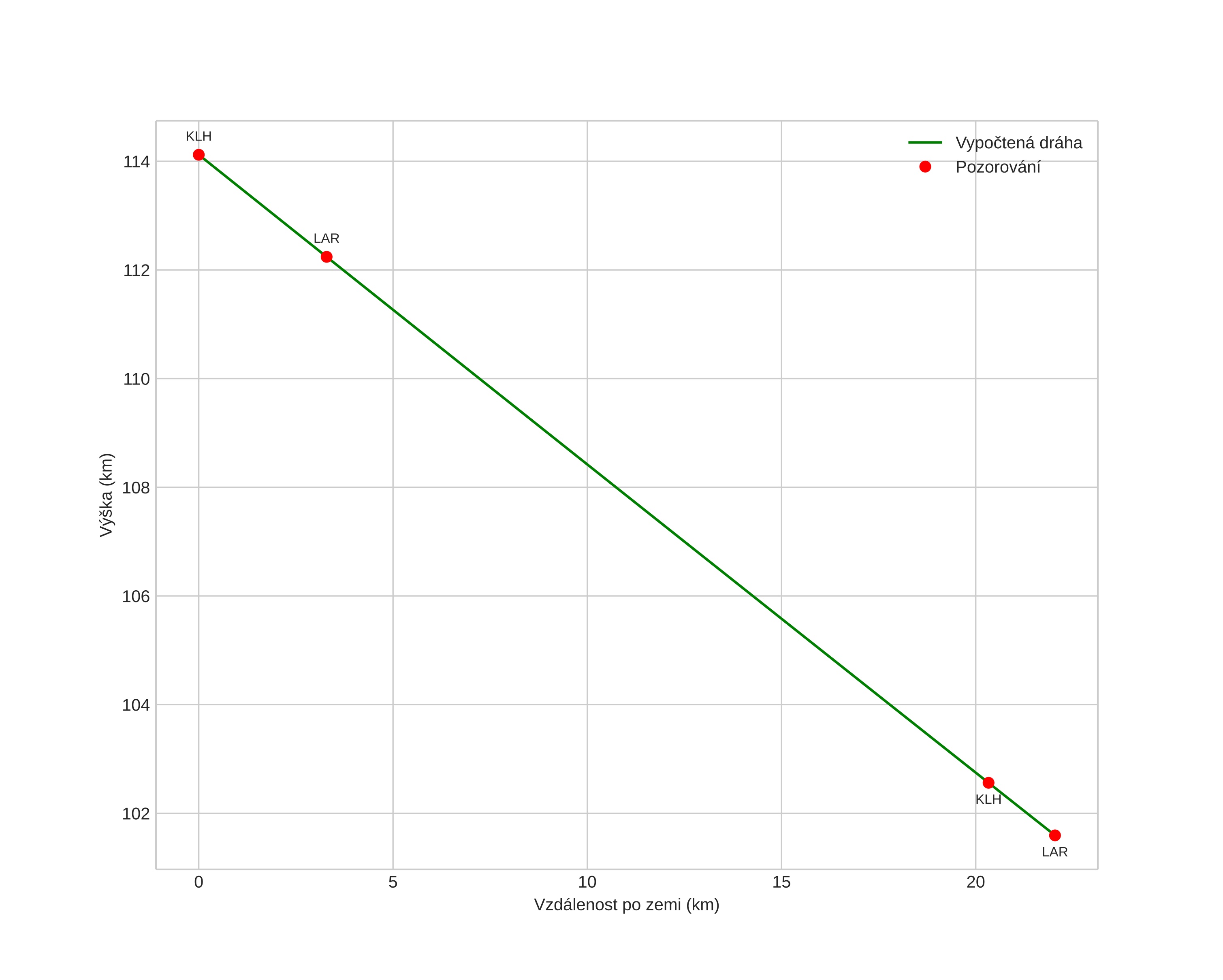
height profile
Atmosférická dráha meteoru:
Počáteční výška: 114,1 km
Konečná výška: 101,6 km
Počáteční poloha: 57,764N 10,407E
Konečná poloha: 57,900N 10,136E
Směr: 313,5°
Sklon: 29,6°
VstupnĂ­ rychlost: 70,3 km/s
Rektascenze radiantu: 18:21 (275,4°)
Deklinace radiantu: 5,2°
MeteorickĂ˝ roj: sporadickĂ˝
Elementy dráhy meteoroidu:
Vzdálenost v periheliu: 0,797 AU
Excentricita: 1,488
Sklon dráhy: 128,6°
Délka vzestupného uzlu: 344,0°
Argument perihelia: 132,2°
Střední anomálie: 12,0°
Epocha: 2023 MAR 05 04:13:38
orbit plot

NeinteraktivnĂ­ graf | InteraktivnĂ­ graf

position vs time
speed and acceleration