🇳🇴 🇬🇧 🇩🇪 🇨🇿 🇫🇮

Meteor Hirtshalsin yllä 2023-03-05 04:13:38 UTC

KML-tiedosto  |  Interaktiivinen kartta

Kartta näyttää meteorin suuntahavainnot. Vaaleammat viivat näyttävät suunnat havaintoasemilta meteorin ilmestyessä, ja tummemmat viivat näyttävät, missä se viimeksi nähtiin. Sininen nuoli näyttää meteorin näkyvän lennon.

static map
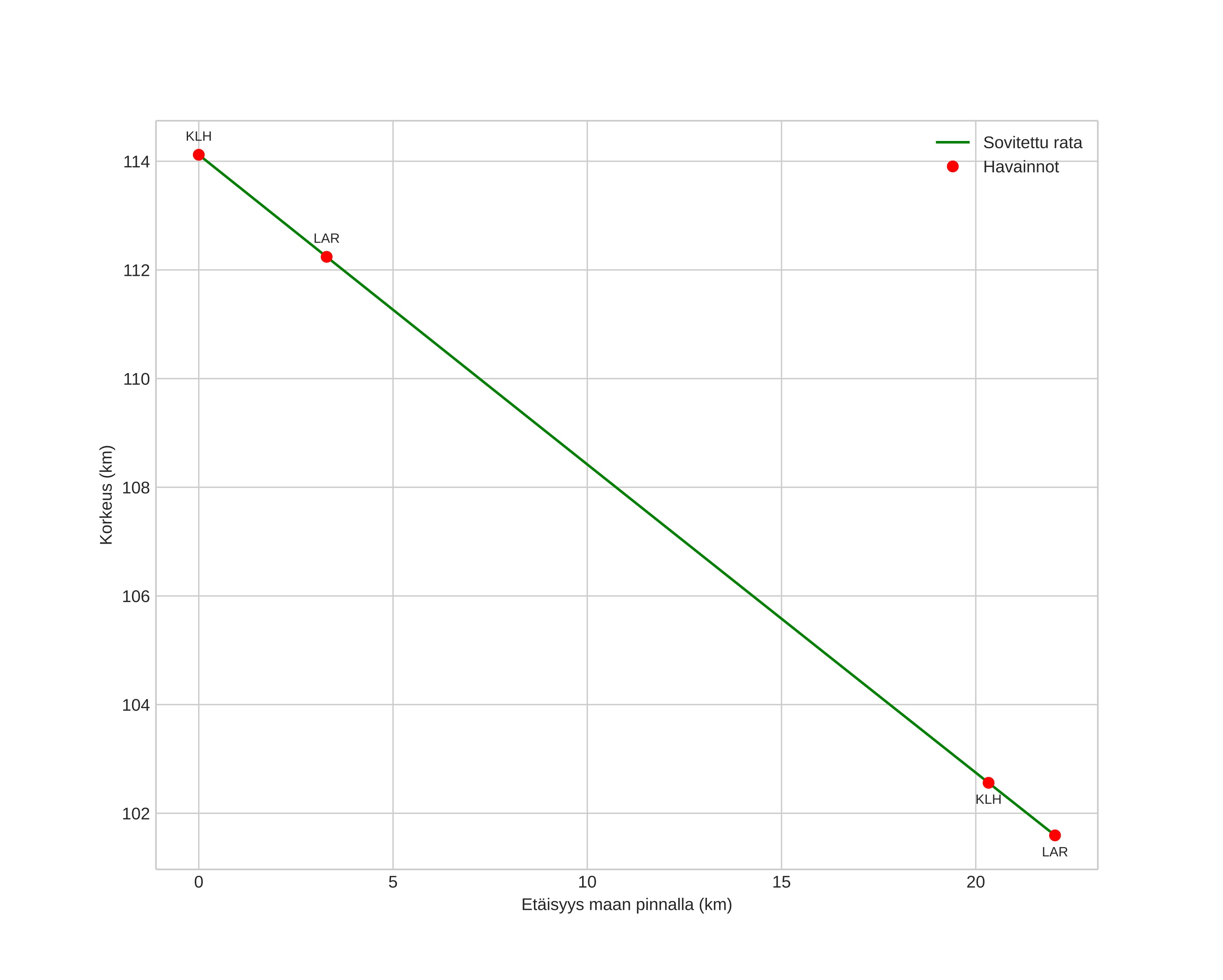
height profile
Meteorin ilmakehärata:
Alkukorkeus: 114,1 km
Loppukorkeus: 101,6 km
Alkupiste: 57,764N 10,407E
Loppupiste: 57,900N 10,136E
Suunta: 313,5°
Kallistuskulma: 29,6°
Tulonopeus: 70,3 km/s
Radiantin R,A,: 18:21 (275,4°)
Radiantin Dekl,: 5,2°
Meteoriparvi: Sporadinen
Meteoroidin rataelementit:
Perihelietäisyys: 0,797 AU
Eksentrisyys: 1,488
Inklinaatio: 128,6°
Nousevan solmun pituus: 344,0°
Perihelin argumentti: 132,2°
Keskianomalia: 12,0°
Epookki: 2023 MAR 05 04:13:38
orbit plot

Ei-interaktiivinen kuvaaja | Interaktiivinen kuvaaja

position vs time
speed and acceleration