🇳🇴 🇬🇧 🇩🇪 🇨🇿 🇫🇮

Meteor, poloha: Ă…motfors 2023-03-05 21:42:53 UTC

Soubor KML  |  InteraktivnĂ­ mapa

Mapa zobrazuje dráhy meteoru. Světlejší čáry ukazují směry od pozorovacích stanic při objevení se meteoru a tmavší čáry, kde byl naposledy viděn. Modrá šipka značí viditelnou dráhu meteoru.

static map
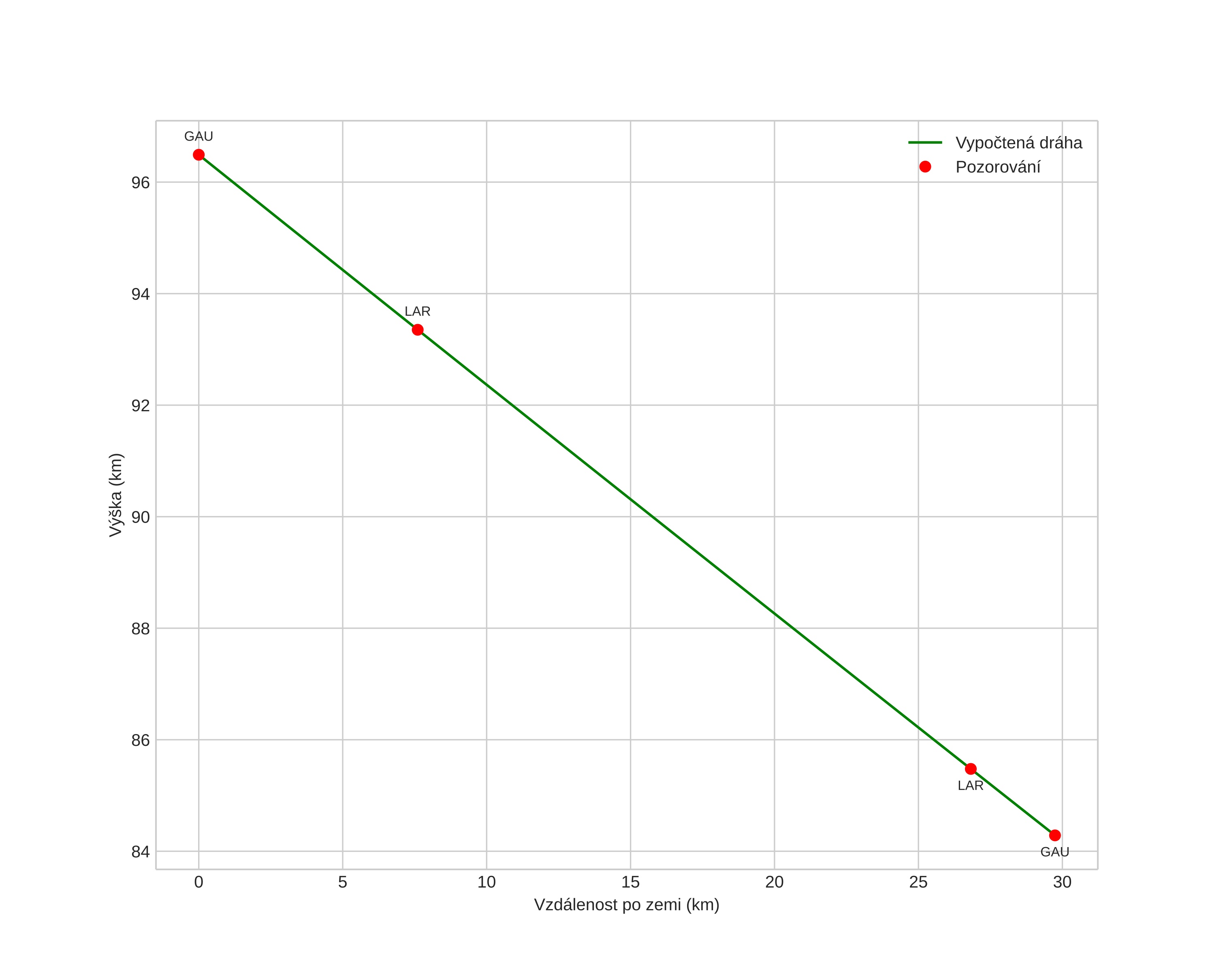
height profile
Atmosférická dráha meteoru:
Počáteční výška: 94,5 km
Konečná výška: 84,4 km
Počáteční poloha: 59,847N 12,457E
Konečná poloha: 59,622N 12,406E
Směr: 186,5°
Sklon: 21,9°
VstupnĂ­ rychlost: 32,9 km/s
Rektascenze radiantu: 20:49 (312,5°)
Deklinace radiantu: 49,4°
MeteorickĂ˝ roj: sporadickĂ˝
Elementy dráhy meteoroidu:
Vzdálenost v periheliu: 0,878 AU
Excentricita: 1,047
Sklon dráhy: 43,0°
Délka vzestupného uzlu: 344,7°
Argument perihelia: 140,9°
Střední anomálie: 0,3°
Epocha: 2023 MAR 05 21:42:53
orbit plot

NeinteraktivnĂ­ graf | InteraktivnĂ­ graf

position vs time
speed and acceleration