🇳🇴 🇬🇧 🇩🇪 🇨🇿 🇫🇮

Meteor Åmotforsin yllä 2023-03-05 21:42:53 UTC

KML-tiedosto  |  Interaktiivinen kartta

Kartta näyttää meteorin suuntahavainnot. Vaaleammat viivat näyttävät suunnat havaintoasemilta meteorin ilmestyessä, ja tummemmat viivat näyttävät, missä se viimeksi nähtiin. Sininen nuoli näyttää meteorin näkyvän lennon.

static map
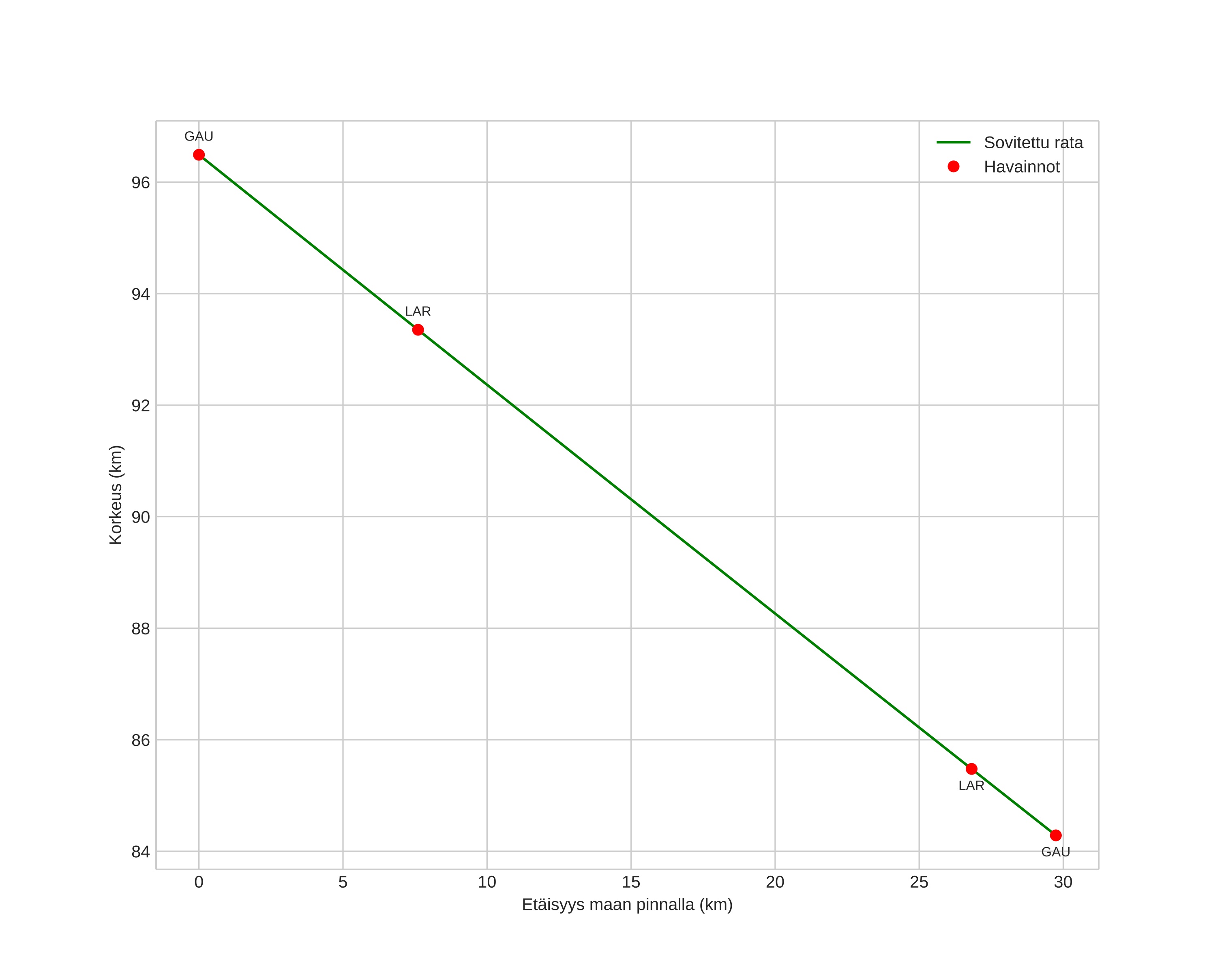
height profile
Meteorin ilmakehärata:
Alkukorkeus: 94,5 km
Loppukorkeus: 84,4 km
Alkupiste: 59,847N 12,457E
Loppupiste: 59,622N 12,406E
Suunta: 186,5°
Kallistuskulma: 21,9°
Tulonopeus: 32,9 km/s
Radiantin R,A,: 20:49 (312,5°)
Radiantin Dekl,: 49,4°
Meteoriparvi: Sporadinen
Meteoroidin rataelementit:
Perihelietäisyys: 0,878 AU
Eksentrisyys: 1,047
Inklinaatio: 43,0°
Nousevan solmun pituus: 344,7°
Perihelin argumentti: 140,9°
Keskianomalia: 0,3°
Epookki: 2023 MAR 05 21:42:53
orbit plot

Ei-interaktiivinen kuvaaja | Interaktiivinen kuvaaja

position vs time
speed and acceleration